¡Bienvenidos a nuestros ejercicios interactivos de reducción de Gauss! La reducción de Gauss, también conocida como eliminación de Gauss, es una técnica fundamental en el álgebra lineal que se utiliza para resolver sistemas de ecuaciones lineales y encontrar matrices en su forma escalonada reducida. En esta serie de ejercicios, explorarás conceptos clave, aprenderás a aplicar el método de Gauss paso a paso y desarrollarás tus habilidades en la resolución de sistemas lineales.
A través de ejercicios prácticos y desafiantes, podrás poner a prueba tus conocimientos y adquirir la destreza necesaria para aplicar la reducción de Gauss en una variedad de situaciones. ¡Prepárate para sumergirte en el mundo de la álgebra lineal y dominar esta poderosa técnica de resolución de sistemas de ecuaciones!
Responde las siguientes preguntas:
Para un sistema de
ecuaciones con
incógnitas, si el determinante de la matriz de coeficientes es distinto de cero, entonces el sistema de ecuaciones posee:
Selecciona una respuesta.
Para un sistema de
ecuaciones con
incógnitas, si el determinante de la matriz de coeficientes es cero, entonces el sistema de ecuaciones posee:
Selecciona una respuesta.
Si al realizar la reducción de Gauss se obtiene un sistema incompatible, entonces se dice que el sistema original
Selecciona una respuesta.
Si al realizar la reducción de Gauss se obtiene un sistema compatible determinado, entonces se dice que el sistema original
Selecciona una respuesta.
Si al realizar la reducción de Gauss se obtiene un sistema compatible indeterminado, entonces se dice que el sistema original
Selecciona una respuesta.
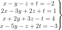
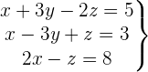
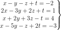
Elige la respuesta correcta para cada uno de los siguientes sistemas de ecuaciones

Selecciona una respuesta.
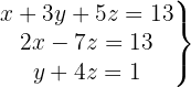
1Escribimos en forma matricial

2Aplicamos el método de Gauss




El sistema es compatible determinado
3Obtenemos las soluciones. La tercera ecuación queda:

La segunda ecuación queda:

La primera ecuación queda:

La solución es


Selecciona una respuesta.
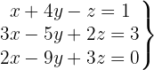
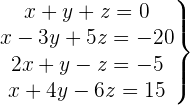
1Escribimos en forma matricial

2Aplicamos el método de Gauss





El sistema es incompatible

Selecciona una respuesta.
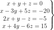
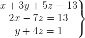
1Escribimos en forma matricial

2Aplicamos el método de Gauss







Intercambiamos las filas 2 y 3



El sistema es compatible determinado
3Obtenemos las soluciones. La tercera ecuación queda:

La segunda ecuación queda:

La primera ecuación queda:

La solución es


Selecciona una respuesta.
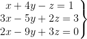
1Escribimos en forma matricial

2Aplicamos el método de Gauss





El sistema es compatible indeterminado
3Obtenemos las soluciones. Utilizamos la parametrización
. La segunda ecuación queda:

La primera ecuación queda:


Selecciona una respuesta.
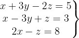
1Escribimos en forma matricial

2Aplicamos el método de Gauss









El sistema es compatible indeterminado
3Obtenemos las soluciones. Utilizamos la parametrización
. La tercera ecuación queda:

La segunda ecuación queda:

La primera ecuación queda:

Si tienes dudas puedes consultar la teoría
Resumir con IA:

Apuntes es una plataforma dirigida al estudio y la práctica de las matemáticas a través de la teoría y ejercicios interactivos que ponemos a vuestra disposición. Esta información está disponible para todo aquel/aquella que quiera profundizar en el aprendizaje de esta ciencia. Será un placer ayudaros en caso de que tengáis dudas frente algún problema, sin embargo, no realizamos un ejercicio que nos presentéis de 0 sin que hayáis si quiera intentado resolverlo. Ánimo, todo esfuerzo tiene su recompensa.
Resultado de este ejercicios de sistemas de Gauss con matrices:x+y+z=3
2x+4y+z=4
3x-y+z=1
Me podrían ayudar a resolverlo
Si tengo tres rectas donde dos se superponen (hasta acá el sistema es compatible indeterminado), pero una tercer recta las cruza, es sistema se convierte es compatible determinado por haber un punto de intersección entre las tres rectas o continúa siendo compatible indeterminado por las infinitas soluciones de dos de las tres rectas?
Hola como la tercera recta intercepta a las otras dos que están superpuestas, lo hace en un solo punto, entonces solo hay una sola solución que corresponde a las tres rectas, pues para que hubiera una infinidad de puntos de respuesta las tres rectas tendrían que ser superpuestas.
en la parte del inicio no es necesario multiplicar, es mas rapido directamente si se intenta sacar el x ya que los 4y ya son capases de eliminarse entre si
Hola gracias por tu aportación lo vamos a tomar en cuenta, podrías darnos más detalles para mejorar la explicación.
El ejercicio 8 esta mal, y es 444/113, no es negativo.
Una disculpa ya se corrigió.
Una disculpa por el error, ya se corrigió.
Me encanta su contenido, realmente me ayuda pero realmente me ayudaría incluso más si dieran un poco más de referencias para citar el documento, fecha, marta ¿Qué? Bueno, ya saben lo necesario para crear APA
¡Hola Cindy! 👋 Desde Superprof nos alegra que el contenido te sea útil. 😊 Para citar el artículo en formato APA, puedes referenciarlo así:
«Superprof. Ejercicios del método de Gauss II. [En línea] Disponible en: [URL del artículo].»
Por privacidad, no podemos dar datos personales del autor ni fecha exacta de publicación, pero esta referencia permite que tu cita sea válida. 📚✨