Capítulos
Explicación del método de sustitución para sistema de ecuaciones
El método de sustitución, como su nombre lo dice consiste en sustituir el valor de una variable obtenido en una de las ecuaciones y sustituirlo en la otra ecuación. Los sistemas de ecuaciones tienen una característica o regla muy importante:Cuando un sistema de ecuaciones tiene más incógnitas(variables) que número de ecuaciones, entonces el sistema tiene soluciones infinitas, es decir, cada variable puede tomar diferentes valores, tal que cumplan siempre con la ecuación, la cantidad de valores que puede tomar cada variable es infinita.
Dada la ecuación
Observamos que se trata de una ecuación con dos variables. Rápidamente podemos darnos cuenta de algunos de los valores que son solución:
Notemos que, existe una cantidad infinita de valores que podemos asignar a
y
para que sean solución. Por otra parte, cuando el sistema tiene mas ecuaciones que incógnitas, entonces el sistema tiene una única solución.
Ejemplo del método de sustitución

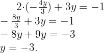
Ecuación I: 
Ecuación II: 
Despejamos cualquiera de las 2 variables en una de las 2 ecuaciones, (siempre debemos buscar la que requiera menos trabajo algebraico para nuestra comodidad), en este caso, despejaremos
en la Ecuación I.

A eso se le llama "Valor de
respecto a
"
Sustituimos el valor despejado en la otra ecuación, en este caso, sustituimos el valor de
en la Ecuación II

Como podemos notar, ahora en la ecuación solo esta la variable
. Esta ecuación se puede simplificar y despejar para obtener el valor de
.

Una vez que tengamos el valor de una de las variables, en este caso el de
, podemos sustituirlo en cualquiera de las 2 ecuaciones para encontrar el valor de la otra variable, en este caso
.


Y así obtenemos el valor de nuestras variables en un sistema de ecuaciones y notamos que la solución es ÚNICA.
Ejercicios propuestos del método de sustitución


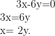
Despejamos la
e la segunda ecuación y se simplifica dividiendo entre 2
Sustituimos en la otra ecuación el valor de la variable
y resolvemos la ecuación 
Sustituimos el valor de
en la segunda ecuación
Por lo tanto, la solución al sistema de ecuaciones es 


Despejamos la
de la segunda ecuación 
Sustituimos en la otra ecuación la variable
y resolvemos la ecuación 
Sustituimos el valor de
en la segunda ecuación 
Por lo tanto, la solución al sistema de ecuaciones es 


Quitamos denominadores en la primera ecuación al multiplicar por 2 y ordenamos la segunda

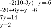
Despejamos la
en la segunda ecuación 
Sustituimos
en la otra ecuación 
Sustituimos el valor de
en la
despejada
Por lo tanto, la solución al sistema de ecuaciones es 

Quitamos denominadores

Operamos en la segunda ecuación

Despejamos la
en la primera ecuación 
Sustituimos en la segunda ecuación y la resolvemos la ecuación 
Sustituimos el valor de
en la primera ecuación 
Por lo tanto, la solución al sistema de ecuaciones es 

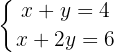
Despejamos la
en la primera ecuación 
Sustituimos el valor de la
en la otra ecuación y resolvemos la ecuación 
Sustituimos el valor de
en la primera ecuación 
Por lo tanto, la solución al sistema de ecuaciones es 

Despejamos la
en la primera ecuación 
Sustituimos el valor de
en la otra ecuación y resolvemos la ecuación 
Sustituimos el valor de la
en la primera ecuación 
Por lo tanto, la solución al sistema de ecuaciones es 

Despejamos la
en la primera ecuación 
Sustituimos el valor de
en la otra ecuación y resolvemos la ecuación 
Sustituimos el valor de la
en la primera ecuación 
Por lo tanto, la solución al sistema de ecuaciones es 

Despejamos la
en la primera ecuación 
Sustituimos el valor de
en la otra ecuación y resolvemos la ecuación 
Sustituimos el valor de la
en la primera ecuación 
Por lo tanto, la solución al sistema de ecuaciones es 

Despejamos la
en la primera ecuación 
Sustituimos el valor de
en la otra ecuación y resolvemos la ecuación 
Sustituimos el valor de la
en la primera ecuación 
Por lo tanto, la solución al sistema de ecuaciones es 

Despejamos la
en la primera ecuación

Sustituimos el valor de
en la otra ecuación y resolvemos la ecuación 
Sustituimos el valor de la
en la primera ecuación 
Por lo tanto, la solución al sistema de ecuaciones es 
Resumir con IA:









Apuntes es una plataforma dirigida al estudio y la práctica de las matemáticas a través de la teoría y ejercicios interactivos que ponemos a vuestra disposición. Esta información está disponible para todo aquel/aquella que quiera profundizar en el aprendizaje de esta ciencia. Será un placer ayudaros en caso de que tengáis dudas frente algún problema, sin embargo, no realizamos un ejercicio que nos presentéis de 0 sin que hayáis si quiera intentado resolverlo. Ánimo, todo esfuerzo tiene su recompensa.
Resultado de este ejercicios de sistemas de Gauss con matrices:x+y+z=3
2x+4y+z=4
3x-y+z=1
Me podrían ayudar a resolverlo
Si tengo tres rectas donde dos se superponen (hasta acá el sistema es compatible indeterminado), pero una tercer recta las cruza, es sistema se convierte es compatible determinado por haber un punto de intersección entre las tres rectas o continúa siendo compatible indeterminado por las infinitas soluciones de dos de las tres rectas?
Hola como la tercera recta intercepta a las otras dos que están superpuestas, lo hace en un solo punto, entonces solo hay una sola solución que corresponde a las tres rectas, pues para que hubiera una infinidad de puntos de respuesta las tres rectas tendrían que ser superpuestas.
en la parte del inicio no es necesario multiplicar, es mas rapido directamente si se intenta sacar el x ya que los 4y ya son capases de eliminarse entre si
Hola gracias por tu aportación lo vamos a tomar en cuenta, podrías darnos más detalles para mejorar la explicación.
El ejercicio 8 esta mal, y es 444/113, no es negativo.
Una disculpa ya se corrigió.
Una disculpa por el error, ya se corrigió.
Me encanta su contenido, realmente me ayuda pero realmente me ayudaría incluso más si dieran un poco más de referencias para citar el documento, fecha, marta ¿Qué? Bueno, ya saben lo necesario para crear APA
¡Hola Cindy! 👋 Desde Superprof nos alegra que el contenido te sea útil. 😊 Para citar el artículo en formato APA, puedes referenciarlo así:
«Superprof. Ejercicios del método de Gauss II. [En línea] Disponible en: [URL del artículo].»
Por privacidad, no podemos dar datos personales del autor ni fecha exacta de publicación, pero esta referencia permite que tu cita sea válida. 📚✨