Escoge la solución correcta:
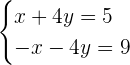
1La siguiente representación gráfica corresponde a un sistema de ecuaciones...
El sistema que definen las gráficas es
Dado que las rectas definidas por estas ecuaciones solo se intersectan en

entonces el sistema tiene una única solución. Esto hace a nuestro sistema compatible determinado. Más aún podemos saber cual es la solución, pues el punto donde se intersectan las rectas el cual es con solución e
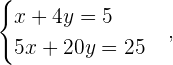
2La siguiente representación gráfica corresponde a un sistema de ecuaciones...
El sistema que definen las gráficas es
Dado que

entonces una de las ecuaciones es múltiplo escalar de la otra por lo tanto las gráficas deben coincidir. Dado que las soluciones del sistema son aquellos punto donde las rectas se intersectan, podemos concluir que el sistema tiene infinitas soluciones, luego se trata de un sistema compatible indeterminado.
3El sistema
es un sistema
Lo que haremos será hallar las soluciones del sistema. Lo cual se obtiene resolviendo,
Primero dividimos por en la primera ecuación

Luego despejamos y reemplazamos este valor en la segunda ecuación

Finalmente obtenemos que
Dado que el sistema solo tiene una solución entonces podemos concluir que se trata de un sistema compatible determinado cuya solución es e
.
4El sistema
es un sistema
Lo que haremos será hallar las soluciones del sistema. Lo cual se obtiene resolviendo,
Lo que haremos será sumar las dos ecuaciones,

Esto ultimo implica que el sistema no tiene solución por lo tanto podemos decir que es incompatible.
5El sistema
es un sistema
Analizaremos las soluciones del sistema. Lo cual se obtiene resolviendo,
Primero multiplicamos la primera ecuación por

Luego sumamos las dos ecuaciones y obtenemos

Por lo tanto concluimos que el sistema tiene infinitas soluciones y que es un sistema compatible indeterminado.
6La siguiente representación gráfica corresponde a un sistema de ecuaciones...
El sistema que definen las graficas es
En este sistema las dos ecuaciones coinciden, esto implica que cualquier punto de la recta es solución, luego se trata de un sistema compatible indeterminado
Si tienes dudas puedes consultar la teoría
Apuntes es una plataforma dirigida al estudio y la práctica de las matemáticas a través de la teoría y ejercicios interactivos que ponemos a vuestra disposición. Esta información está disponible para todo aquel/aquella que quiera profundizar en el aprendizaje de esta ciencia. Será un placer ayudaros en caso de que tengáis dudas frente algún problema, sin embargo, no realizamos un ejercicio que nos presentéis de 0 sin que hayáis si quiera intentado resolverlo. Ánimo, todo esfuerzo tiene su recompensa.
Me encanta su contenido, realmente me ayuda pero realmente me ayudaría incluso más si dieran un poco más de referencias para citar el documento, fecha, marta ¿Qué? Bueno, ya saben lo necesario para crear APA
¡Hola Cindy! 👋 Desde Superprof nos alegra que el contenido te sea útil. 😊 Para citar el artículo en formato APA, puedes referenciarlo así:
«Superprof. Ejercicios del método de Gauss II. [En línea] Disponible en: [URL del artículo].»
Por privacidad, no podemos dar datos personales del autor ni fecha exacta de publicación, pero esta referencia permite que tu cita sea válida. 📚✨
Como puedo solucionar
Y: -3x+2
La novena esta mal, es x= 2 y= 0 , mega confirmado, grave error, en su pagina dice que la respuesta es x= 4 y= -3 lo cual no es verdad, por cualquier metodo que se haga, porfavor corregir gracias por los ejercicios de practica
Una disculpa por el error cometido, ya se corrigió.
como puedo resolver el siguiente sistema de ecuaciones
3x+4y+5z=35
2x+5y+3z=27
2x+ y+ z=13
Cómo puedo resolver la siguiente ecuación con el método Gauss – Jordan
5x-10y = 5x+20
[7x-3y=2 3x+4y=-15
I+y=5
I-y=1