Capítulos
Sistemas compatibles determinados e indeterminados
Decir si son verdaderas o falsas las siguientes afirmaciones:
En un sistema compatible indeterminado se puede eliminar una ecuación y obtener un sistema equivalente.
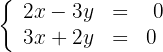
Si
Para el sistema

Escribimos en forma matricial. Reemplazamos las filas
por
respectivamente y obtenemos

Reemplazamos la fila
por
y obtenemos

El sistema equivalente es

La solución del sistema compatible indeterminado es

Un sistema compatible indeterminado es equivalente a un sistema homogéneo.
No
Los sistemas homogéneos, por lo general, sólo admiten la solución trivial:
,
mientras que los sistemas compatibles indeterminados admiten infinitas soluciones.
Un sistema homogéneo es un sistema incompatible.
No
Los sistemas homogéneos, por lo general, sólo admiten la solución trivial:
,
mientras que los sistemas incompatibles no admiten soluciones.
Todo sistema compatible indeterminado tiene dos ecuaciones iguales.
No
El sistema compatible indeterminado

no tiene dos ecuaciones iguales. La solución del sistema compatible indeterminado es

De un sistema compatible determinado podemos extraer otro compatible indeterminado (no equivalente) eliminando ecuaciones.
Si
Para el sistema

Escribimos en forma matricial. Reemplazamos las filas
por
respectivamente y obtenemos

La solución del sistema compatible determinado es

Si eliminamos la segunda ecuación del sistema compatible determinado original, obtenemos el sistema compatible indeterminado

cuya solución es

Clasificación de sistemas
Discutir el siguiente sistema y resolverlo en caso de que proceda:

1Escribimos en forma matricial. Reemplazamos la fila
por
y obtenemos

2Hacemos
, de donde se obtiene
. Sustituimos este valor en la primera ecuación

3La solución del sistema compatible determinado es

Otra forma de obtener la solución consiste en observar que se trata de un sistema homogéneo con mismo número de ecuaciones que de incógnitas, por lo que su solución es 

1Escribimos en forma matricial. Reemplazamos las filas
por
respectivamente y obtenemos

2Reemplazamos la fila
por
y obtenemos

La solución del sistema compatible determinado es


1Escribimos en forma matricial. Reemplazamos la fila
por
y obtenemos

2Hacemos
, sustituimos este valor en las dos ecuaciones

3La solución del sistema compatible indeterminado es


1Escribimos en forma matricial. Reemplazamos las filas
por
respectivamente y obtenemos

2De la matriz anterior se obtiene

3De la tercera ecuación se obtiene

4Sustituimos el valor de
en la segunda ecuación y se obtiene

5Sustituimos los valores de
en la primera ecuación y se obtiene

6La solución del sistema compatible determinado es


1Escribimos en forma matricial. Intercambiamos las filas
por
respectivamente y obtenemos

Reemplazamos las filas
por
respectivamente y obtenemos

Reemplazamos la fila
por
y obtenemos

2De la matriz anterior se obtiene

3Sustituimos el valor de
en la segunda ecuación y se obtiene

4Sustituimos los valores de
en la primera ecuación y se obtiene

5La solución del sistema compatible determinado es


1Escribimos en forma matricial. Reemplazamos las filas
por
respectivamente y obtenemos

Reemplazamos la fila
por
y obtenemos

2De la matriz anterior se obtiene

3Hacemos
y sustituimos en la segunda ecuación para obtener

4Sustituimos los valores de
en la primera ecuación y se obtiene

5La solución del sistema compatible indeterminado es


1Escribimos en forma matricial. Reemplazamos las filas
por
respectivamente y obtenemos

Reemplazamos las filas
por
y obtenemos

2De la matriz anterior se obtiene

3Hacemos
y sustituimos en la tercera ecuación para obtener

4Sustituimos los valores de
en la segunda ecuación y se obtiene

5Sustituimos los valores de
en la primera ecuación y se obtiene

6La solución del sistema compatible indeterminado es


1Escribimos en forma matricial. Reemplazamos las filas
por
respectivamente y obtenemos

Reemplazamos las filas
por
y obtenemos

2En la matriz anterior la última fila es un múltiplo de la penúltima, por lo que se obtiene

3De la tercera ecuación se obtiene
. Hacemos
y sustituimos en la segunda ecuación para obtener

4Sustituimos los valores de
en la primera ecuación y se obtiene

5La solución del sistema compatible indeterminado es


1Escribimos en forma matricial e intercambiamos las filas uno y dos

Reemplazamos las filas
por
y obtenemos

Reemplazamos la fila
por
y obtenemos

2Se obtiene el sistema equivalente

3Hacemos
y sustituimos en la tercera ecuación para obtener

4Sustituimos los valores de
en la segunda ecuación y se obtiene

5Sustituimos los valores de
en la primera ecuación y se obtiene


1Escribimos en forma matricial. Reemplazamos las filas
por
respectivamente y obtenemos

Reemplazamos las filas
por
y obtenemos

Reemplazamos la fila
por
y obtenemos

2De la matriz anterior se tiene que el sistema es incompatible.
Determinación de parámetros
Estudiar si existe algún valor de
, para el cual el sistema es compatible. Si es así, resolver del sistema para ese valor de
.

1Escribimos en forma matricial. Reemplazamos las filas
por
respectivamente y obtenemos

2De la tercera fila se observa que si
, se tiene que el sistema es incompatible ya que 
3Si
, se tiene que el sistema es compatible determinado y es quivalente a

De la tercera ecuación se obtiene

Sustituimos el valor de
en la segunda ecuación y se obtiene

Sustituimos los valores de
en la primera ecuación y se obtiene

Estudiar si existe algún valor de
, para el cual el sistema es compatible. Si es así, resolver del sistema para ese valor de 

1Escribimos en forma matricial. Reemplazamos la fila
por 

2De la cuarta fila se observa que el sistema es incompatible para cualquier valor de
ya que 
Discutir el sistema según los valores del parámetro 

1Escribimos en forma matricial. Reemplazamos las filas
por
respectivamente y obtenemos

2Reemplazamos las filas
por
respectivamente y obtenemos

3De la tercera fila se observa que si
, se tiene que el sistema es compatible indeterminado ya que 
4Si
, se tiene que el sistema es incompatible.
Discutir el sistema según los valores de los parámetro
y 

1Escribimos en forma matricial. Reemplazamos las filas
por
respectivamente y obtenemos

2Reemplazamos la fila
por
y obtenemos

3De la tercera fila se observa que:
si
y
, entonces el sistema es incompatible;
si
y
, entonces el sistema es compatible indeterminado;
si
, entonces el sistema es compatible determinado para cualquier valor de
.
Determinar para qué valores de
, el siguiente sistema tiene infinitas soluciones

1Escribimos en forma matricial. Reemplazamos la fila
por
y obtenemos

2Reemplazamos la fila
por
y obtenemos

3De la tercera fila se observa que si
, entonces el sistema es compatible indeterminado, por lo que tiene infinitas soluciones.
Problemas de aplicación de sistemas de ecuaciones
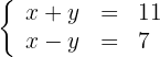
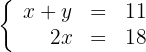
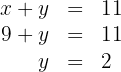
La suma de dos números es 11 y su diferencia es 7, ¿cuáles son estos números?
1Representamos por
los dos números buscados. Escribimos las condiciones mediante ecuaciones
La suma de sos números es 11

La diferencia de dos números es 7

2Se obtiene el sistema de ecuaciones

3Escribimos en forma matricial las dos ecuaciones. Reemplazamos la fila
por
respectivamente y obtenemos

4El sistema es compatible determinado y es quivalente a

De la segunda ecuación se obtiene

Sustituimos el valor de
en la primera ecuación y se obtiene

5La solución es
,
.
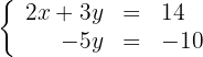
Por la compra de dos libretas y tres lapiceros se pagaron 14 € y por la compra de una libreta y cuatro lapiceros se pagaron 12 €. ¿Cuál es el costo de cada artículo?
1Representamos por
el costo de cada libreta y lapicero. Escribimos las condiciones mediante ecuaciones
Por la compra de dos libretas y tres lapiceros se pagaron 14 €

Por la compra de una libreta y cuatro lapiceros se pagaron 12 €

2Se obtiene el sistema de ecuaciones

3Escribimos en forma matricial las dos ecuaciones. Reemplazamos la fila
por
respectivamente y obtenemos

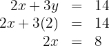
4El sistema es compatible determinado y es quivalente a

De la segunda ecuación se obtiene

Sustituimos el valor de
en la primera ecuación y se obtiene

5La solución es
€,
€.
El dueño de un bar ha comprado refrescos, cerveza y vino por importe de
€ (sin impuestos). El valor del vino es
€ menos que el de los refrescos y de la cerveza conjuntamente. Teniendo en cuenta que los refrescos deben pagar un IVA del
, por la cerveza del
y por El vino del
, lo que hace que la factura total con impuestos sea de
€, calcular la cantidad invertida en cada tipo de bebida.
1Representamos por
los importes en € de refresco, cerveza y vino. Escribimos las condiciones mediante ecuaciones
El dueño de un bar ha comprado refrescos, cerveza y vino por importe de
€ (sin impuestos)

El valor del vino es
€ menos que el de los refrescos y de la cerveza conjuntamente

Teniendo en cuenta que los refrescos deben pagar un IVA del
, por la cerveza del
y por El vino del
, lo que hace que la factura total con impuestos sea de
€

Multiplicando ambos lados de la ecuación por
, se obtiene

2Se obtiene el sistema de ecuaciones

3Escribimos en forma matricial las tres ecuaciones. Reemplazamos las filas
por
respectivamente y obtenemos

3El sistema es compatible determinado y es quivalente a

De la segunda ecuación se obtiene

Sustituimos el valor de
en la tercera ecuación y se obtiene

Sustituimos los valores de
en la primera ecuación y se obtiene

4La solución es
€,
€,
€.
Una empresa tiene tres minas con minas de composiciones:
| Níquel (%) | Cobre (%) | Hierro (%) | |
|---|---|---|---|
| Mina A | 1 | 2 | 3 |
| Mina B | 2 | 5 | 7 |
| Mina C | 1 | 3 | 1 |
¿Cuántas toneladas de cada mina deben utilizarse para obtener 7 toneladas de níquel, 18 de cobre y 16 de hierro?
1Representamos por
el número de toneladas de las minas A, B y C. Escribimos las condiciones mediante ecuaciones lo cual da lugar al siguiente sistema de ecuaciones:

2Escribimos en forma matricial las tres ecuaciones. Reemplazamos las filas
por
respectivamente y obtenemos

Reemplazamos la fila
por
y obtenemos

3El sistema es compatible determinado y es quivalente a

De la tercera ecuación se obtiene

Sustituimos el valor de
en la segunda ecuación y se obtiene

Sustituimos los valores de
en la primera ecuación y se obtiene

La edad de un padre es doble de la suma de las edades de sus dos hijos, mientras que hace unos años (exactamente la diferencia de las edades actuales de los hijos), la edad del padre era triple que la suma de las edades, en aquel tiempo, de sus hijos. Cuando pasen tantos años como la suma de las edades actuales de los hijos, la suma de edades de las tres personas será 150 años. ¿Qué edad tenía el padre en el momento de nacer sus hijos?
1Representamos por
las edades actuales del padre, el hijo myor y el hijo menor. Escribimos las condiciones mediante ecuaciones
La edad de un padre es doble de la suma de las edades de sus dos hijos

Hace unos años (exactamente la diferencia de las edades actuales de los hijos), la edad del padre era triple que la suma de las edades, en aquel tiempo, de sus hijos

Cuando pasen tantos años como la suma de las edades actuales de los hijos, la suma de edades de las tres personas será 150 años

2Se obtiene el sistema de ecuaciones

3Escribimos en forma matricial las tres ecuaciones. Reemplazamos las filas
por
respectivamente y obtenemos

Reemplazamos la fila
por
respectivamente y obtenemos

3El sistema es compatible determinado y es quivalente a

De la tercera ecuación se obtiene

Sustituimos el valor de
en la segunda ecuación y se obtiene

Sustituimos los valores de
en la primera ecuación y se obtiene

4Al nacer los hijos el padre tenía 35 y 40 años.
¿Quieres encontrar un algebra profesor en linea? ¡Hazlo en Superprof!
Resumir con IA:









Apuntes es una plataforma dirigida al estudio y la práctica de las matemáticas a través de la teoría y ejercicios interactivos que ponemos a vuestra disposición. Esta información está disponible para todo aquel/aquella que quiera profundizar en el aprendizaje de esta ciencia. Será un placer ayudaros en caso de que tengáis dudas frente algún problema, sin embargo, no realizamos un ejercicio que nos presentéis de 0 sin que hayáis si quiera intentado resolverlo. Ánimo, todo esfuerzo tiene su recompensa.
Resultado de este ejercicios de sistemas de Gauss con matrices:x+y+z=3
2x+4y+z=4
3x-y+z=1
Me podrían ayudar a resolverlo
Si tengo tres rectas donde dos se superponen (hasta acá el sistema es compatible indeterminado), pero una tercer recta las cruza, es sistema se convierte es compatible determinado por haber un punto de intersección entre las tres rectas o continúa siendo compatible indeterminado por las infinitas soluciones de dos de las tres rectas?
Hola como la tercera recta intercepta a las otras dos que están superpuestas, lo hace en un solo punto, entonces solo hay una sola solución que corresponde a las tres rectas, pues para que hubiera una infinidad de puntos de respuesta las tres rectas tendrían que ser superpuestas.
en la parte del inicio no es necesario multiplicar, es mas rapido directamente si se intenta sacar el x ya que los 4y ya son capases de eliminarse entre si
Hola gracias por tu aportación lo vamos a tomar en cuenta, podrías darnos más detalles para mejorar la explicación.
El ejercicio 8 esta mal, y es 444/113, no es negativo.
Una disculpa ya se corrigió.
Una disculpa por el error, ya se corrigió.
Me encanta su contenido, realmente me ayuda pero realmente me ayudaría incluso más si dieran un poco más de referencias para citar el documento, fecha, marta ¿Qué? Bueno, ya saben lo necesario para crear APA
¡Hola Cindy! 👋 Desde Superprof nos alegra que el contenido te sea útil. 😊 Para citar el artículo en formato APA, puedes referenciarlo así:
«Superprof. Ejercicios del método de Gauss II. [En línea] Disponible en: [URL del artículo].»
Por privacidad, no podemos dar datos personales del autor ni fecha exacta de publicación, pero esta referencia permite que tu cita sea válida. 📚✨