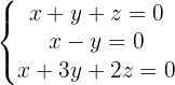
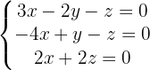
Resolver el sistema homogéneo:

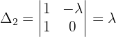
Como el resultado es cero tomo los primeros coeficientes para hacer un determinante de 2x2 y lo calculo

Entonces tenemos
y
.
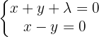
Tomamos las dos primeras ecuaciones y hacemos 

Despejamos
y
quedando un sistema compatible indeterminado
Ahora resuelvo el sistema para encontrar los valores de
y
usando determinantes

entonces dividiendo el resultado por 


entonces dividiendo el resultado por 

finalmente
.
Resolver el sistema homogéneo:

Tomamos los coeficientes del sistema de ecuaciones y calculamos el determinante

En este caso el resultado es diferente de cero, por lo tanto
y 
Entonces solo tenemos la solución trivial:
.
Resolver el sistema homogéneo: 
Tomamos los coeficientes del sistema de ecuaciones y calculamos el determinante

En este caso el resultado es diferente de cero, por lo tanto
y
Entonces solo tenemos la solución trivial:
.
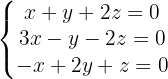
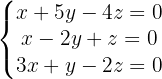
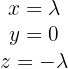
Resolver el sistema homogéneo:

Tomamos los coeficientes del sistema de ecuaciones y calculamos el determinante
Como el resultado es cero tomo los primeros coeficientes para hacer un determinante de 2x2 y lo calculo

Entonces tenemos
y
Tomamos las dos primeras ecuaciones y hacemos
quedando

Despejamos
y
quedando un sistema compatible indeterminado
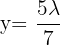
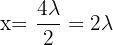
Ahora resuelvo el sistema para encontrar los valores de
y
usando determinantes

entonces dividiendo el resultado por 


entonces dividiendo el resultado por 
finalmente
.
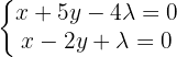
Discutir y resolver el sistema cuando sea compatible. 
Tomamos los coeficientes del sistema de ecuaciones y calculamos el determinante
Tendríamos dos casos primero
y 
Si
, entonces
y tendríamos una solución trivial: 
Si
, entonces
y tenemos que

usando las mismas operaciones que en los ejemplos pasados tenemos el sistema compatible indeterminado con

Ahora resuelvo el sistema para encontrar los valores de
y
usando determinantes 
entonces dividiendo el resultado por 
entonces dividiendo el resultado por 

finalmente
.
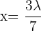
Determinar para qué valores de k, el siguiente sistema tiene infinitas soluciones. 
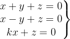
Tomamos los coeficientes del sistema de ecuaciones para representar la matriz y poder reducirla con las operaciones de matrices y sabiendo que
,
,
son las filas de la matriz y sobre cada flecha te indica que operación se realizo para el cambio

En base a la ultima matriz tendríamos que
o
y el sistema compatible indeterminado seria obtenido por el sistema de ecuaciones
que se obtuvo de la ultima matriz y
obtendriamos
.
Resumir con IA:

Apuntes es una plataforma dirigida al estudio y la práctica de las matemáticas a través de la teoría y ejercicios interactivos que ponemos a vuestra disposición. Esta información está disponible para todo aquel/aquella que quiera profundizar en el aprendizaje de esta ciencia. Será un placer ayudaros en caso de que tengáis dudas frente algún problema, sin embargo, no realizamos un ejercicio que nos presentéis de 0 sin que hayáis si quiera intentado resolverlo. Ánimo, todo esfuerzo tiene su recompensa.
Resultado de este ejercicios de sistemas de Gauss con matrices:x+y+z=3
2x+4y+z=4
3x-y+z=1
Me podrían ayudar a resolverlo
Si tengo tres rectas donde dos se superponen (hasta acá el sistema es compatible indeterminado), pero una tercer recta las cruza, es sistema se convierte es compatible determinado por haber un punto de intersección entre las tres rectas o continúa siendo compatible indeterminado por las infinitas soluciones de dos de las tres rectas?
Hola como la tercera recta intercepta a las otras dos que están superpuestas, lo hace en un solo punto, entonces solo hay una sola solución que corresponde a las tres rectas, pues para que hubiera una infinidad de puntos de respuesta las tres rectas tendrían que ser superpuestas.
en la parte del inicio no es necesario multiplicar, es mas rapido directamente si se intenta sacar el x ya que los 4y ya son capases de eliminarse entre si
Hola gracias por tu aportación lo vamos a tomar en cuenta, podrías darnos más detalles para mejorar la explicación.
El ejercicio 8 esta mal, y es 444/113, no es negativo.
Una disculpa ya se corrigió.
Una disculpa por el error, ya se corrigió.
Me encanta su contenido, realmente me ayuda pero realmente me ayudaría incluso más si dieran un poco más de referencias para citar el documento, fecha, marta ¿Qué? Bueno, ya saben lo necesario para crear APA
¡Hola Cindy! 👋 Desde Superprof nos alegra que el contenido te sea útil. 😊 Para citar el artículo en formato APA, puedes referenciarlo así:
«Superprof. Ejercicios del método de Gauss II. [En línea] Disponible en: [URL del artículo].»
Por privacidad, no podemos dar datos personales del autor ni fecha exacta de publicación, pero esta referencia permite que tu cita sea válida. 📚✨