Capítulos
Ecuación lineal con n incógnitas:
Cualquier expresión del tipo: , donde
. Los valores
se denominan coeficientes,
término independiente y los valores
incógnitas.
Cualquier conjunto de números reales que verifica la ecuación se denomina solución de la ecuación
Ejemplo: Dada la ecuación , son solución de ella:
.
Aquellas ecuaciones que tienen la misma solución se llaman ecuaciones equivalentes.
Sistema de ecuaciones
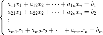
Un sistema de ecuaciones es un conjunto de expresiones algebraicas de la forma:

son las incógnitas,
.
son los coeficientes,
.
son los términos independientes,
.
.
- Obsérvese que el número de ecuaciones no tiene por qué ser igual al número de incógnitas.
y
.
- Cuando
toma un valor bajo, es usual designar a las incógnitas con las letras
- Cuando
para todo
, el sistema se llama homogéneo.
- Solución de un sistema es cada conjunto de valores que satisface a todas las ecuaciones.
Clasificación de sistemas
Los sistemas de ecuaciones se pueden clasificar de diferentes maneras:
Atendiendo al número de sus soluciones
- Incompatible: no tiene solución.
- Compatible: tiene solución.
- Compatible determinado: solución única.
- Compatible indeterminado: infinitas soluciones.
Atendiendo al número de sus ecuaciones
Sistemas escalonados
Son aquellos en que cada ecuación tiene una incógnita menos que la anterior.
Sistemas equivalentes
Son aquellos que tienen la misma solución , aunque tengan distinto número de ecuaciones. Obtenemos sistemas equivalentes por:
Eliminación de ecuaciones dependientes
- Todos los coeficientes son ceros.
- Dos filas son iguales.
- Una fila es proporcional a otra.
- Una fila es combinación lineal de otras.
Transformaciones
Se pueden realizar las siguientes transformaciones:
- Cambiar el orden de las ecuaciones del sistema.
- Cambiar el orden de las incógnitas en la ecuación .
- Multiplicar los dos miembros de una ecuación por un número distinto de cero.
- Sustituir una ecuación del sistema por una combinación lineal de ella y de las restantes siempre que el coeficiente de la ecuación sustituida sea distinto de cero.
Método de Gauss
El método de Gauss consiste en transformar un sistema de ecuaciones en otro equivalente de forma que éste sea escalonado. Para facilitar el cálculo vamos a transformar el sistema en una matriz, en la que pondremos los coeficientes de las variables y los términos independientes (separados por una recta).

Discutir un sistema es determinar si tiene solución y, caso de tenerla, saber si ésta es única. Es decir, determinar si es compatible o incompatible, y en caso de ser compatible, si es determinado o indeterminado.
Pasos a seguir:
1 Leer y comprender el enunciado.
2 Anotar los datos utilizando: esquemas, dibujos, diagramas de árbol...
3 Elegir una notación que nos permita relacionar las distintas variables.
4 Plantear y resolver el sistema.
5 Comprobar la solución.
Apuntes es una plataforma dirigida al estudio y la práctica de las matemáticas a través de la teoría y ejercicios interactivos que ponemos a vuestra disposición. Esta información está disponible para todo aquel/aquella que quiera profundizar en el aprendizaje de esta ciencia. Será un placer ayudaros en caso de que tengáis dudas frente algún problema, sin embargo, no realizamos un ejercicio que nos presentéis de 0 sin que hayáis si quiera intentado resolverlo. Ánimo, todo esfuerzo tiene su recompensa.
Me encanta su contenido, realmente me ayuda pero realmente me ayudaría incluso más si dieran un poco más de referencias para citar el documento, fecha, marta ¿Qué? Bueno, ya saben lo necesario para crear APA
¡Hola Cindy! 👋 Desde Superprof nos alegra que el contenido te sea útil. 😊 Para citar el artículo en formato APA, puedes referenciarlo así:
«Superprof. Ejercicios del método de Gauss II. [En línea] Disponible en: [URL del artículo].»
Por privacidad, no podemos dar datos personales del autor ni fecha exacta de publicación, pero esta referencia permite que tu cita sea válida. 📚✨
Como puedo solucionar
Y: -3x+2
La novena esta mal, es x= 2 y= 0 , mega confirmado, grave error, en su pagina dice que la respuesta es x= 4 y= -3 lo cual no es verdad, por cualquier metodo que se haga, porfavor corregir gracias por los ejercicios de practica
Una disculpa por el error cometido, ya se corrigió.
como puedo resolver el siguiente sistema de ecuaciones
3x+4y+5z=35
2x+5y+3z=27
2x+ y+ z=13
Cómo puedo resolver la siguiente ecuación con el método Gauss – Jordan
5x-10y = 5x+20
[7x-3y=2 3x+4y=-15
I+y=5
I-y=1