A continuación se presenta una serie de ejercicios resueltos que utilizan el método de Cramer para resolver sistemas de ecuaciones lineales. Este método, basado en el uso de determinantes, es una herramienta algebraica eficaz para encontrar soluciones de sistemas cuadrados (es decir, con el mismo número de ecuaciones que de incógnitas), siempre que el determinante de la matriz de coeficientes sea distinto de cero.
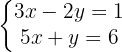
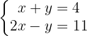
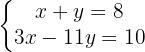
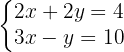
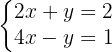
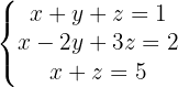
Resolver por la regla de Cramer:

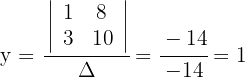
Calculamos el determinante de la matriz de coeficientes

Calculamos los coeficientes



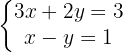
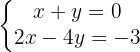
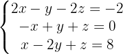
Calculamos el determinante de la matriz de coeficientes

Calculamos los coeficientes



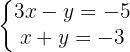
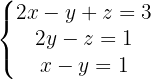
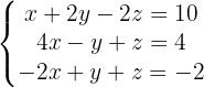
Calculamos el determinante de la matriz de coeficientes

Calculamos los coeficientes



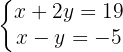
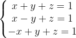
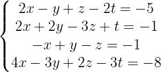
Calculamos el determinante de la matriz de coeficientes

Calculamos los coeficientes



Calculamos el determinante de la matriz de coeficientes

Calculamos los coeficientes



Calculamos el determinante de la matriz de coeficientes

Calculamos los coeficientes



Calculamos el determinante de la matriz de coeficientes

Calculamos los coeficientes



Calculamos el determinante de la matriz de coeficientes

Calculamos los coeficientes



Calculamos el determinante de la matriz de coeficientes

Calculamos los coeficientes



Calculamos el determinante de la matriz de coeficientes

Calculamos los coeficientes




Calculamos el determinante de la matriz de coeficientes

Calculamos los coeficientes




Calculamos el determinante de la matriz de coeficientes

Calculamos los coeficientes




Calculamos el determinante de la matriz de coeficientes

Calculamos los coeficientes




Calculamos el determinante de la matriz de coeficientes

Calculamos los coeficientes




Calculamos el determinante de la matriz de coeficientes

Calculamos los coeficientes




Resumir con IA:

Apuntes es una plataforma dirigida al estudio y la práctica de las matemáticas a través de la teoría y ejercicios interactivos que ponemos a vuestra disposición. Esta información está disponible para todo aquel/aquella que quiera profundizar en el aprendizaje de esta ciencia. Será un placer ayudaros en caso de que tengáis dudas frente algún problema, sin embargo, no realizamos un ejercicio que nos presentéis de 0 sin que hayáis si quiera intentado resolverlo. Ánimo, todo esfuerzo tiene su recompensa.
Resultado de este ejercicios de sistemas de Gauss con matrices:x+y+z=3
2x+4y+z=4
3x-y+z=1
Me podrían ayudar a resolverlo
Si tengo tres rectas donde dos se superponen (hasta acá el sistema es compatible indeterminado), pero una tercer recta las cruza, es sistema se convierte es compatible determinado por haber un punto de intersección entre las tres rectas o continúa siendo compatible indeterminado por las infinitas soluciones de dos de las tres rectas?
Hola como la tercera recta intercepta a las otras dos que están superpuestas, lo hace en un solo punto, entonces solo hay una sola solución que corresponde a las tres rectas, pues para que hubiera una infinidad de puntos de respuesta las tres rectas tendrían que ser superpuestas.
en la parte del inicio no es necesario multiplicar, es mas rapido directamente si se intenta sacar el x ya que los 4y ya son capases de eliminarse entre si
Hola gracias por tu aportación lo vamos a tomar en cuenta, podrías darnos más detalles para mejorar la explicación.
El ejercicio 8 esta mal, y es 444/113, no es negativo.
Una disculpa ya se corrigió.
Una disculpa por el error, ya se corrigió.
Me encanta su contenido, realmente me ayuda pero realmente me ayudaría incluso más si dieran un poco más de referencias para citar el documento, fecha, marta ¿Qué? Bueno, ya saben lo necesario para crear APA
¡Hola Cindy! 👋 Desde Superprof nos alegra que el contenido te sea útil. 😊 Para citar el artículo en formato APA, puedes referenciarlo así:
«Superprof. Ejercicios del método de Gauss II. [En línea] Disponible en: [URL del artículo].»
Por privacidad, no podemos dar datos personales del autor ni fecha exacta de publicación, pero esta referencia permite que tu cita sea válida. 📚✨