Regla de Cramer
Un Sistema Cramer es un sistema de ecuaciones con
incógnitas, tal que el determinante de la matriz de los coeficientes es distinto de cero, como el que se muestra a continuación:

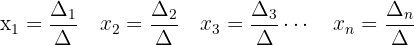
Sea el determinante de la matriz de coeficientes. Es decir:

Y sean los determinantes que se obtiene al sustituir los coeficientes del 2º miembro (los términos independientes) en la 1ª columna , en la 2ª columna, en la 3ª columna y en la enésima columna respectivamente. Entonces las soluciones del sistema de ecuaciones están dadas por la siguiente relación:


Teorema de Rouché−Fröbenius
La condición necesaria y suficiente para que un sistema de ecuaciones y
incógnitas tenga solución es que el rango
de la matriz de los coeficientes y el rango
de la matriz ampliada sean iguales. Es decir, en los rangos de las matrices se pueden tener los siguientes casos:
Sistema Compatible.
Sistema Compatible Determinado.
Sistema Compatible Indeterminado.
Sistema Incompatible.
Sistemas homogéneos
Si un sistema de ecuaciones y
incógnitas tiene todos los términos independientes nulos se dice que es homogéneo. Es decir, el sistema sólo admite la solución trivial:
.
La condición necesaria y suficiente para que un sistema homogéneo tenga soluciones distintas de la trivial es que el rango de la matriz de los coeficientes sea menor que el número de incógnitas, o dicho de otra forma, que el determinante de la matriz de los coeficientes sea nulo.
Apuntes es una plataforma dirigida al estudio y la práctica de las matemáticas a través de la teoría y ejercicios interactivos que ponemos a vuestra disposición. Esta información está disponible para todo aquel/aquella que quiera profundizar en el aprendizaje de esta ciencia. Será un placer ayudaros en caso de que tengáis dudas frente algún problema, sin embargo, no realizamos un ejercicio que nos presentéis de 0 sin que hayáis si quiera intentado resolverlo. Ánimo, todo esfuerzo tiene su recompensa.
Me encanta su contenido, realmente me ayuda pero realmente me ayudaría incluso más si dieran un poco más de referencias para citar el documento, fecha, marta ¿Qué? Bueno, ya saben lo necesario para crear APA
¡Hola Cindy! 👋 Desde Superprof nos alegra que el contenido te sea útil. 😊 Para citar el artículo en formato APA, puedes referenciarlo así:
«Superprof. Ejercicios del método de Gauss II. [En línea] Disponible en: [URL del artículo].»
Por privacidad, no podemos dar datos personales del autor ni fecha exacta de publicación, pero esta referencia permite que tu cita sea válida. 📚✨
Como puedo solucionar
Y: -3x+2
La novena esta mal, es x= 2 y= 0 , mega confirmado, grave error, en su pagina dice que la respuesta es x= 4 y= -3 lo cual no es verdad, por cualquier metodo que se haga, porfavor corregir gracias por los ejercicios de practica
Una disculpa por el error cometido, ya se corrigió.
como puedo resolver el siguiente sistema de ecuaciones
3x+4y+5z=35
2x+5y+3z=27
2x+ y+ z=13
Cómo puedo resolver la siguiente ecuación con el método Gauss – Jordan
5x-10y = 5x+20
[7x-3y=2 3x+4y=-15
I+y=5
I-y=1