Resolución de problemas
Es frecuente, que cuando se nos plantea un problema en un contexto "real" y se nos pide que planteemos un sistema de ecuaciones que permita interpretar de forma algebraica la situación planteada o bien resolvamos el problema, nos parezca complejo traducir de un lenguaje natural a uno simbólico. Es por ello, que en este artículo te proponemos algunas estrategias y pasos a seguir para facilitar esta conversión.
Pasos a seguir
1 Leer y comprender el enunciado.
2 Anotar los datos utilizando: esquemas, dibujos, diagramas de árbol...
3 Elegir una notación que nos permita relacionar las distintas variables.
4 Plantear y resolver el sistema.
5 Comprobar la solución.
Ejemplo de problema de sistemas de ecuaciones
El dueño de un bar ha comprado refrescos, cerveza y vino por importe de € (sin impuestos).El valor del vino es
€ menos que el de los refrescos y de la cerveza conjuntamente. Teniendo en cuenta que los refrescos deben pagar un IVA del
y por el vino del
, lo que hace que la factura total con impuestos sea de
€.
Calcular la cantidad invertida en cada tipo de bebida.
1 Leer y comprender el enunciado.
- Para resolver el problema primero notemos que nos piden calcular la cantidad invertida para cada tipo de bebida, bajo la premisa de que por cada bebida se debe pagar un IVA distinto.
2 Anotar los datos utilizando: esquemas, dibujos, diagramas de árbol...
Los datos que nos proporciona el problema son los siguientes:
- El importe sin impuestos pagado por los refrescos, cerveza y vino es de
€.
- El valor del vino es
€ menos que el de los refrescos y de la cerveza conjuntamente.
- Los refrescos deben pagar un IVA del
y por el vino del
, siendo el importe final de
€
3 Elegir una notación que nos permita relacionar las distintas variables.
Como estamos interesados en conocer el valor de los refrescos, cerveza y vino podemos definir las siguientes variables.
Importe en € de los refrescos.
Importe en € de la cerveza.
Importe en € del vino.
4 Plantear y resolver el sistema.
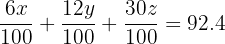
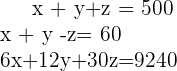
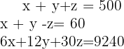
Para plantear el sistema es necesario convertir las expresiones señaladas en la segunda parte, en expresiones algebraicas, apoyándonos de las variables definidas en la tercera parte:
- El importe sin impuestos pagado por los refrescos, cerveza y vino es de
€. Se puede expresar algebraicamente como:
- El valor del vino es
€ menos que el de los refrescos y de la cerveza conjuntamente. Se puede expresar como:
- Los refrescos deben pagar un IVA del
y por el vino del
, siendo el importe final de
€ (pagando
de impuestos) se puede expresar como:

o bien

- Así, obtenemos el siguiente sistema de tres ecuaciones con tres incógnitas:

- Resolvemos el sistema de tres ecuaciones con tres incógnitas y obtenemos que:

5 Comprobar la solución.
- Para comprobar la solución podemos sustituir en el sistema inicial:

Apuntes es una plataforma dirigida al estudio y la práctica de las matemáticas a través de la teoría y ejercicios interactivos que ponemos a vuestra disposición. Esta información está disponible para todo aquel/aquella que quiera profundizar en el aprendizaje de esta ciencia. Será un placer ayudaros en caso de que tengáis dudas frente algún problema, sin embargo, no realizamos un ejercicio que nos presentéis de 0 sin que hayáis si quiera intentado resolverlo. Ánimo, todo esfuerzo tiene su recompensa.
Me encanta su contenido, realmente me ayuda pero realmente me ayudaría incluso más si dieran un poco más de referencias para citar el documento, fecha, marta ¿Qué? Bueno, ya saben lo necesario para crear APA
¡Hola Cindy! 👋 Desde Superprof nos alegra que el contenido te sea útil. 😊 Para citar el artículo en formato APA, puedes referenciarlo así:
«Superprof. Ejercicios del método de Gauss II. [En línea] Disponible en: [URL del artículo].»
Por privacidad, no podemos dar datos personales del autor ni fecha exacta de publicación, pero esta referencia permite que tu cita sea válida. 📚✨
Como puedo solucionar
Y: -3x+2
La novena esta mal, es x= 2 y= 0 , mega confirmado, grave error, en su pagina dice que la respuesta es x= 4 y= -3 lo cual no es verdad, por cualquier metodo que se haga, porfavor corregir gracias por los ejercicios de practica
Una disculpa por el error cometido, ya se corrigió.
como puedo resolver el siguiente sistema de ecuaciones
3x+4y+5z=35
2x+5y+3z=27
2x+ y+ z=13
Cómo puedo resolver la siguiente ecuación con el método Gauss – Jordan
5x-10y = 5x+20
[7x-3y=2 3x+4y=-15
I+y=5
I-y=1