
,
Este campo es obligatorio.
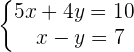
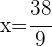
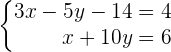
1 Despejamos la incógnita
de ambas ecuaciones:

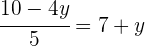
2 Igualamos:

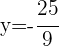
3 Resolvemos:






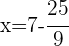
4 Sustituimos el valor de
para obtener el valor de
:



Este campo es obligatorio.
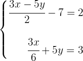
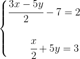
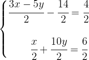
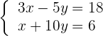
1 Expresamos las ecuaciones del sistema lo más simplificadas posible. En este caso, simplificamos el primer término de la segunda ecuación:

2 Pasamos cada ecuación del sistema a común denominador:

3 Ahora podemos quitar denominadores de cada ecuación, obteniendo el sistema:


4 Despejamos la incógnita
de ambas ecuaciones:

5 Igualamos:

6 Resolvemos:






7 Sustituímos el valor de
para obtener el valor de
:


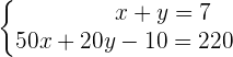
Una empresa de transportes alquila
tipos de autobuses, uno de
plazas y otro de
. Para una excursión escolar de
alumnos se alquilan
autocares. ¿Cuántos autobuses de cada tipo se alquilan, sabiendo que sobran
plazas?
Autobuses de
plazas
Autobuses de
plazas
Este campo es obligatorio.
1 Elegimos las incógnitas:
: número de autobuses de
plazas.
: número de autobuses de
plazas.
2 Obtenemos las ecuaciones relacionando los datos. En total van a la excursión
autocares
Como son
alumnos y sobran
plazas, se tiene 

3 Resolvemos el sistema por el método de igualación 







Se alquilan
autobuses de
plazas y
autobuses de
plazas
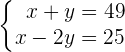
La edad de un niño y la de su padre suman
. Sabemos que la edad del padre menos el doble de la edad del hijo es igual a
, ¿cuál es la edad de ambos?
Edad del padre
Edad del hijo
Este campo es obligatorio.
1 Elegimos las incógnitas:
: edad del padre.
: edad del niño.
2 Obtenemos las ecuaciones relacionando los datos. Ambas edades suman 
3 La edad del padre menos el doble de la edad del hijo es igual a
, por lo que: 

4 Resolvemos el sistema por el método de igualación








La edad del padre es
años y la del hijo
años.
Si tienes dudas puedes consultar la teoría
Resumir con IA:

Apuntes es una plataforma dirigida al estudio y la práctica de las matemáticas a través de la teoría y ejercicios interactivos que ponemos a vuestra disposición. Esta información está disponible para todo aquel/aquella que quiera profundizar en el aprendizaje de esta ciencia. Será un placer ayudaros en caso de que tengáis dudas frente algún problema, sin embargo, no realizamos un ejercicio que nos presentéis de 0 sin que hayáis si quiera intentado resolverlo. Ánimo, todo esfuerzo tiene su recompensa.
Resultado de este ejercicios de sistemas de Gauss con matrices:x+y+z=3
2x+4y+z=4
3x-y+z=1
Me podrían ayudar a resolverlo
Si tengo tres rectas donde dos se superponen (hasta acá el sistema es compatible indeterminado), pero una tercer recta las cruza, es sistema se convierte es compatible determinado por haber un punto de intersección entre las tres rectas o continúa siendo compatible indeterminado por las infinitas soluciones de dos de las tres rectas?
Hola como la tercera recta intercepta a las otras dos que están superpuestas, lo hace en un solo punto, entonces solo hay una sola solución que corresponde a las tres rectas, pues para que hubiera una infinidad de puntos de respuesta las tres rectas tendrían que ser superpuestas.
en la parte del inicio no es necesario multiplicar, es mas rapido directamente si se intenta sacar el x ya que los 4y ya son capases de eliminarse entre si
Hola gracias por tu aportación lo vamos a tomar en cuenta, podrías darnos más detalles para mejorar la explicación.
El ejercicio 8 esta mal, y es 444/113, no es negativo.
Una disculpa ya se corrigió.
Una disculpa por el error, ya se corrigió.
Me encanta su contenido, realmente me ayuda pero realmente me ayudaría incluso más si dieran un poco más de referencias para citar el documento, fecha, marta ¿Qué? Bueno, ya saben lo necesario para crear APA
¡Hola Cindy! 👋 Desde Superprof nos alegra que el contenido te sea útil. 😊 Para citar el artículo en formato APA, puedes referenciarlo así:
«Superprof. Ejercicios del método de Gauss II. [En línea] Disponible en: [URL del artículo].»
Por privacidad, no podemos dar datos personales del autor ni fecha exacta de publicación, pero esta referencia permite que tu cita sea válida. 📚✨