denota el centro de una hipérbola, entonces su ecuación está dada por
donde las cantidades
y
determinan las asíntotas de la hipérbola, es decir, las rectas
. En este artículo discutiremos cómo obtener la ecuación de la hipérbola cuando su eje principal (el segmento que une a los vértices y de longitud
) es paralelo al eje
. Ciertamente tenemos dos casos, el primero es cuando la coordenada
del centro
de la hipérbola es positiva, es decir, el centro se encuentra en el semiplano superior y el segundo caso es cuando la coordenada
del centro es negativa, por lo que ahora lo localiza en el semiplano inferior. A continuación se muestran dos ejemplos que describen estos casos. 

Ahora discutiremos algunos ejemplos analíticos de cómo obtener la ecuación de una hipérbola dada cierta información.
Ejemplos1. Encontrar la ecuación de la hipérbola dadas las coordenadas siguientes del centro
, vértice
y foco
.
Solución:
Al conocer que el centro está situado en
, sabemos que la hipérbola tendrá su eje principal paralelo al eje
ya que la coordenada
y por lo tanto el vértice y el foco tienen coordenadas generales
y
, respectivamente. Dada esta información, ahora procederemos a encontrar los valores de
y
claves para la obtención de la ecuación de la hipérbola.
Para encontrar
, debemos resolver la ecuación
que se obtiene al igualar la primera entrada del vértice con coordenadas generales
y el vértice dado
. Como sabemos que
, entonces la solución a la ecuación anterior nos arroja que
.
Para encontrar
primero debemos encontrar
. Esto lo hacemos similarmente a como encontramos
. Igualando la primera entrada del foco
con la primera entrada del foco dado
nos arroja la ecuación
y como
, entonces
.
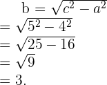
Ahora calculamos b:

Sustituyendo los valores de
y
en la ecuación (1) obtenemos la ecuación de la hipérbola

2. Encontrar la ecuación de la hipérbola si tiene focos en
,
, centro en
y eje principal 8 .
Solución:
Siguiendo a la ecuación (1), debemos encontrar los valores de
y
. Primero nótese que como la coordenada
del centro es negativa, entonces el eje principal de longitud
es paralelo al eje
y además sitúa al centro en el semiplano inferior. Con esto sabemos que las coordenadas generales de los focos son:
y
. Igualando la primera entrada del foco con coordenadas generales y el foco dado como en el ejemplo anterior obtenemos la ecuación
y como
, entonces
.
Para obtener
, utilizamos el hecho que el eje principal se puede describir como
y como sabemos que este tiene longitud
, entonces tenemos la ecuación
y por lo tanto
.
Para obtener
procedemos igual que en el ejemplo anterior:
Así que, si
y
, entonces la ecuación de la hipérbola toma la forma:

Apuntes es una plataforma dirigida al estudio y la práctica de las matemáticas a través de la teoría y ejercicios interactivos que ponemos a vuestra disposición. Esta información está disponible para todo aquel/aquella que quiera profundizar en el aprendizaje de esta ciencia. Será un placer ayudaros en caso de que tengáis dudas frente algún problema, sin embargo, no realizamos un ejercicio que nos presentéis de 0 sin que hayáis si quiera intentado resolverlo. Ánimo, todo esfuerzo tiene su recompensa.
Hallar el vértice foco distancia focal la directriz la ecuación de la parábola y graficar V (-5,0) D>X=0
Calcula los elementos y las ecuaciones de la parábola como se hace eso
Hola se supone que para hacerlo te tienen que dar datos, por ejemplo si el vértice esta en el origen o no, si te dan la coordenada del foco o la ecuación directriz, si es parábola vertical u horizontal, según sea el caso, teniendo los datos necesarios solo tienes que sustituir en las fórmulas.
Por ejemplo encontrar la ecuación de la parábola con vértice en el origen y foco F(1,0):
La parábola es horizontal y tiene de parámetro p=1 y se sustituye en y^2=4px i x=-p quedando y^2=4(1)x y x=-1 o y^2=4x y x+1=0, ecuación de la parábola y directriz.
Una circunferencia tiene su centro en el eje X y pasa por los puntos (-1,5) y (2,3) determina su ecuación
Encuentra la ecuación de la elipse con eje horizontal, centro en (3,−2) semieje mayor de 5 unidades y semieje menor de 3 unidades
Calcula la distancia focal de la elipse cuyos ejes miden 10 y 6 unidades
¿Cómo crees que estas formas geométricas pueden influir en el diseño arquitectónico contemporáneo?
determinar la ecuacion dela hiperbola c(4,3) semieje real 2 eje real paralelo de las absisas exentricidad 1,5
Hallar la ecuación de la hipérbola con c(4,3), semieje real 2, eje real paralelo a las absisas
Excentricidad e=1,5