Si el eje principal de una elipse está en el de ordenadas y además su centro se localiza en el origen, entonces se obtendrá la siguiente ecuación 
con 

La ecuación (1) se conoce como la ecuación reducida de la elipse de eje vertical. Dicho lo anterior, se tiene la siguiente información de la elipse:
- El centro tiene coordenada

- Los vértices tienen coordenadas
,
,
y
. - Se satisface la relación

- Los focos tienen coordenadas
y 
- El eje principal (o eje mayor) tiene longitud

- El eje menor tiene longitud

- La excentricidad de la elipse es

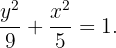
Ejemplos1. Dada la ecuación reducida de la elipse 
hallar las coordenadas de los vértices, de los focos y la excentricidad.
Solución:
Aquí
,
y

Por lo tanto se tiene que
- Los vértices son:
,
,
y 
- Los focos son:
y 
- La excentricidad es

La elipse está representada en la siguiente figura.

2 Encontrar la ecuación de la elipse si se conoce que tiene focos en
,
y su eje principal tiene longitud
.
Solución:
Dado que conocemos que los focos tienen coordenadas
y
, inmediatamente obtenemos que
. Además, ya que el eje principal tiene longitud igual a
, entonces tenemos la ecuación
. Resolviendo para
obtenemos que
. Ahora, usando la ecuación
encontramos
de la siguiente manera:

Luego, substituyendo los valores de
y
, concluimos que

Así, substituyendo los valores de
y
en la ecuación (1) , concluimos que la ecuación de la elipse que buscamos es 

3 Dados los vértices
y
, y que la longitud del eje principal es igual a
, encontrar los vértices restantes, los focos, la excentricidad y finalmente la ecuación de la elipse con esta información.
Solución:
Ya que los vértices tienen coordenadas
y
, sabemos que
. De igual manera, dado que el eje principal tiene una longitud de
, obtenemos la ecuación
. Resolviendo para
, obtenemos que
.
Solo resta encontrar el valor de
. Para esto, solo debemos substituir los valores de
y
de la siguiente manera:

Por lo tanto, con los valores de
,
y
tenemos que
- Los vértices restantes son
y
. - Los focos tienen coordenadas en
y 
- La excentricidad es

- Finalmente, la ecuación de la elipse es


Resumir con IA:

Apuntes es una plataforma dirigida al estudio y la práctica de las matemáticas a través de la teoría y ejercicios interactivos que ponemos a vuestra disposición. Esta información está disponible para todo aquel/aquella que quiera profundizar en el aprendizaje de esta ciencia. Será un placer ayudaros en caso de que tengáis dudas frente algún problema, sin embargo, no realizamos un ejercicio que nos presentéis de 0 sin que hayáis si quiera intentado resolverlo. Ánimo, todo esfuerzo tiene su recompensa.
Hallar el vértice foco distancia focal la directriz la ecuación de la parábola y graficar V (-5,0) D>X=0
Calcula los elementos y las ecuaciones de la parábola como se hace eso
Hola se supone que para hacerlo te tienen que dar datos, por ejemplo si el vértice esta en el origen o no, si te dan la coordenada del foco o la ecuación directriz, si es parábola vertical u horizontal, según sea el caso, teniendo los datos necesarios solo tienes que sustituir en las fórmulas.
Por ejemplo encontrar la ecuación de la parábola con vértice en el origen y foco F(1,0):
La parábola es horizontal y tiene de parámetro p=1 y se sustituye en y^2=4px i x=-p quedando y^2=4(1)x y x=-1 o y^2=4x y x+1=0, ecuación de la parábola y directriz.
Una circunferencia tiene su centro en el eje X y pasa por los puntos (-1,5) y (2,3) determina su ecuación
Encuentra la ecuación de la elipse con eje horizontal, centro en (3,−2) semieje mayor de 5 unidades y semieje menor de 3 unidades
Calcula la distancia focal de la elipse cuyos ejes miden 10 y 6 unidades
¿Cómo crees que estas formas geométricas pueden influir en el diseño arquitectónico contemporáneo?
determinar la ecuacion dela hiperbola c(4,3) semieje real 2 eje real paralelo de las absisas exentricidad 1,5
Hallar la ecuación de la hipérbola con c(4,3), semieje real 2, eje real paralelo a las absisas
Excentricidad e=1,5