¿Necesitas un repaso rápido para preparar un examen? Contacta con un profesor matematicas a través de nuestra plataforma y saca los mejores resultados de tu clase.
Determina las coordenadas del centro, así como el radio, de las siguientes circunferencias:




Recordemos que si una circunferencia tiene ecuación dada por

entonces el centro
de la circunferencia tiene coordenadas

y el radio
satisface la ecuación

Dicho esto, ya podemos resolver los ejercicios:

Primero buscaremos el centro
de la circunferencia,

Por lo que el centro se encuentra en el punto
.
Asimismo, tenemos que el radio
debe satisfacer

Por lo que el radio es
.
La siguiente figura muestra la gráfica de la circunferencia:


Buscaremos primero el centro
,

Por lo que el centro se encuentra en el punto
.
Asimismo, tenemos que el radio
debe satisfacer

Por lo tanto, no tenemos una circunferencia real.

Antes de calcular el centro y el radio, debemos dividir por 4. De este modo, la ecuación tiene la forma que ya sabemos manejar.

Ahora, busquemos el centro
de la circunferencia:

De esta manera, el centro se encuentra en el punto
.
Por otro lado, el radio
debe satisfacer

Así, el radio es
. La siguiente figura muestra la gráfica de la circunferencia:


Al igual que en el ejercicio anterior, antes de calcular el centro y el radio, debemos dividir por 4,

Ahora, busquemos el centro de la circunferencia:

De esta manera, el centro se encuentra en
.
Por otro lado, el radio
debe satisfacer

Así, el radio es
. La gráfica de la circunferencia se muestra a continuación:

Calcula la ecuación de la circunferencia que tiene su centro en (2,-3) y es tangente al eje de abscisas
Calcula la ecuación de la circunferencia que tiene su centro en (2,-3) y es tangente al eje de abscisas.
La gráfica de la circunferencia debe ser como la siguiente:

Ya tenemos que el centro está en
. Además, el eje de abscisas es la recta
. De este modo, la distancia entre el punto
y la recta
está dada por

Por lo tanto, el radio de la circunferencia debe ser 3. De este modo, la ecuación de la circunferencia es:

Calcula la ecuación de la circunferencia que tiene su centro en (-1,4) y es tangente al eje de ordenadas.
Calcula la ecuación de la circunferencia que tiene su centro en (-1,4) y es tangente al eje de ordenadas.
La gráfica sería la siguiente:

Este problema se resuelve de manera muy similar al anterior. Tenemos que el centro está en
. Asimismo, el eje de ordenadas es la recta
. De este manera, la distancia entre el punto
y la recta
está dada por

Por lo tanto, el radio de la circunferencia debe ser 1. De este modo, la ecuación de la circunferencia es:

Calcula la ecuación de la circunferencia que tiene su centro en el punto de intersección de la rectas x+3y+3=0 y x+y+1=0 , y su radio es igual a 5.
Tenemos las siguientes rectas, su intersección es el punto
. Buscamos la ecuación de la siguiente circunferencia (color azul):

Debemos encontrar la intersección entre las dos rectas, esto es equivalente a resolver el siguiente sistema de ecuaciones:

La solución al sistema de ecuaciones de
y
. Por lo tanto, el centro de la circunferencia debe ser
. De esta manera, la ecuación de la circunferencia es

Encuentra la ecuación de la circunferencia concéntrica con la circunferencia con ecuación
, y que, además, pasa por el punto (-3,4).
Observemos la siguiente gráfica:

Buscamos la ecuación de la circunferencia de color azul (la cual tiene el mismo centro que la circunferencia verde, y pasa por el punto en rojo).
Por ser concéntricas, entonces tienen el mismo centro. Por lo tanto, debemos encontrar el centro de la otra circunferencia:

De este modo, el centro es el punto
. Asimismo, la circunferencia debe pasar por el punto
; esto significa que el radio
de la circunferencia es la distancia entre estos dos puntos:

De este modo, la ecuación de la circunferencia es

Determina la ecuación de la circunferencia circunscrita al triángulo de vértices: A(0,0), B(3,1),C(5,7).
La circunferencia debe pasar por todos los puntos. Esto significa que, al sustituir los valores de
y
en la ecuación de la circunferencia
, esta debe ser igual a cero. Por tanto, tenemos el siguiente sistema:

El sistema anterior es equivalente al siguiente sistema de ecuaciones —después de despejar las constantes que no multiplican a
,
ni
al lado derecho de cada ecuación—:

Este sistema tiene la siguiente solución:

Por lo tanto, la ecuación de la circunferencia es

Observemos la gráfica de la circunferencia:

Los extremos del diámetro de una circunferencia son los puntos A(-5,3) y B(3,1). ¿Cuál es la ecuación de esta circunferencia?
Observemos la siguiente gráfica:

Tenemos que los extremos del diámetro son los puntos
y
. Por lo tanto, el radio
debe ser la mitad de la distancia de
a
. Es decir,

Asimismo, el centro se encuentra en el punto medio de
y
, el cual está dado por,

Así, la ecuación de la circunferencia está dada por:

Encuentra la ecuación de la circunferencia concéntrica a la circunferencia
que sea tangente a la recta
.
Para resolver este ejercicio, primero debemos encontrar el centro de la circunferencia (que será el mismo al de la otra circunferencia que se nos proporcionó). Luego, debemos encontrar la distancia con la recta dada: esta distancia será el radio de nuestra circunferencia.
De este modo, el centro de la circunferencia es,

Así, el centro se encuentra en el punto
. Por otro lado, el radio es

En consecuencia, la ecuación de la circunferencia está dada por

La gráfica se muestra a continuación:

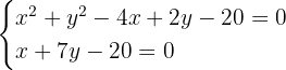
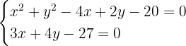
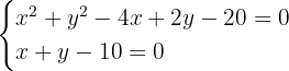
Estudia la posición relativa de la circunferencia
con las siguientes rectas:



Estudia la posición relativa de la circunferencia
con la siguiente recta:

Para determinar la posición relativa entre la recta y la circunferencia, debemos encontrar en cuáles puntos se intersecan. Es decir, debemos resolver el siguiente sistema de ecuaciones no lineales:

Despejando
de la segunda ecuación, y sustituyendo en la primera se tiene (después de simplificar),

Las soluciones de la ecuación cuadrática son
y
, las cuales se encuentran utilizando la fórmula cuadrática. Al sustituir en la segunda ecuación del sistema no lineal, tenemos que,


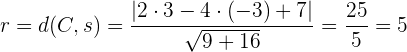
Por lo que P(-1,3) y Q(6,2) son los puntos de intersección entre la recta y la circunferencia. De este modo, la recta es secante a la circunferencia, tal y como se aprecia en la siguiente gráfica.


De la misma forma que el inciso anterior, debemos resolver el siguiente sistema no lineal de ecuaciones:

Al despejar
en la segunda ecuación y sustituyendo en la primera, obtenemos

Notemos que la ecuación cuadrática tiene una única solución,
. Al sustituir en la segunda ecuación se obtiene que
.
Por lo tanto, la recta solo intersecta a la circunferencia en el punto
. Esto es, la recta es tangente a la circunferencia, justo como se puede apreciar en la siguiente figura:


Por último, este problema también se resuelve como los anteriores. Así, consideremos el siguiente sistema no lineal de ecuaciones

Al despejar
de la segunda ecuación y sustituir en la primera, obtenemos,

Notemos que el discriminante de la ecuación es,
\displaystyle \Delta = (-13)^2 - 4 \cdot 50 = -31 < 0[/latex]
Por lo tanto, la ecuación cuadrática no tiene soluciones reales. Es decir, el sistema de ecuaciones no tiene soluciones reales.
De este modo, la recta no interseca a la circunferencia en ningún punto. Es decir, la recta es exterior a la circunferencia, tal y como se aprecia en la siguiente figura:

Resumir con IA:

Apuntes es una plataforma dirigida al estudio y la práctica de las matemáticas a través de la teoría y ejercicios interactivos que ponemos a vuestra disposición. Esta información está disponible para todo aquel/aquella que quiera profundizar en el aprendizaje de esta ciencia. Será un placer ayudaros en caso de que tengáis dudas frente algún problema, sin embargo, no realizamos un ejercicio que nos presentéis de 0 sin que hayáis si quiera intentado resolverlo. Ánimo, todo esfuerzo tiene su recompensa.
Hallar el vértice foco distancia focal la directriz la ecuación de la parábola y graficar V (-5,0) D>X=0
Calcula los elementos y las ecuaciones de la parábola como se hace eso
Hola se supone que para hacerlo te tienen que dar datos, por ejemplo si el vértice esta en el origen o no, si te dan la coordenada del foco o la ecuación directriz, si es parábola vertical u horizontal, según sea el caso, teniendo los datos necesarios solo tienes que sustituir en las fórmulas.
Por ejemplo encontrar la ecuación de la parábola con vértice en el origen y foco F(1,0):
La parábola es horizontal y tiene de parámetro p=1 y se sustituye en y^2=4px i x=-p quedando y^2=4(1)x y x=-1 o y^2=4x y x+1=0, ecuación de la parábola y directriz.
Una circunferencia tiene su centro en el eje X y pasa por los puntos (-1,5) y (2,3) determina su ecuación
Encuentra la ecuación de la elipse con eje horizontal, centro en (3,−2) semieje mayor de 5 unidades y semieje menor de 3 unidades
Calcula la distancia focal de la elipse cuyos ejes miden 10 y 6 unidades
¿Cómo crees que estas formas geométricas pueden influir en el diseño arquitectónico contemporáneo?
determinar la ecuacion dela hiperbola c(4,3) semieje real 2 eje real paralelo de las absisas exentricidad 1,5
Hallar la ecuación de la hipérbola con c(4,3), semieje real 2, eje real paralelo a las absisas
Excentricidad e=1,5