Representa gráficamente y determina las coordenadas de los focos, de los vértices y la excentricidad de las siguientes hipérbolas:
1
2
3
4
1
De la ecuación de la hipérbola se obtiene

Encontramos el valor de 

Conociendo
, que la hipérbola se encuentra centrada en el origen y su eje real es horizontal, ya podemos encontrar los vértices
, los focos,
y la excentricidad 



Con los datos anteriores, representamos gráficamente la hipérbola

2
De la ecuación de la hipérbola se obtiene

Encontramos el valor de 

Conociendo
, que la hipérbola se encuentra centrada en el origen y su eje real es vertical, ya podemos encontrar los vértices
, los focos,
y la excentricidad 



Con los datos anteriores, representamos gráficamente la hipérbola

3
Dividiendo por 30

De la ecuación de la hipérbola se obtiene

Encontramos el valor de 

Conociendo
, que la hipérbola se encuentra centrada en el origen y su eje real es horizontal, ya podemos encontrar los vértices
, los focos,
y la excentricidad 



Con los datos anteriores, representamos gráficamente la hipérbola

4
Dividiendo por 1296

De la ecuación de la hipérbola se obtiene

Encontramos el valor de 

Conociendo
, que la hipérbola se encuentra centrada en el origen y su eje real es vertical, ya podemos encontrar los vértices
, los focos,
y la excentricidad 



Con los datos anteriores, representamos gráficamente la hipérbola

Representa gráficamente y determina las coordenadas del centro, de los focos, de los vértices y la excentricidad de las siguientes hipérbolas:
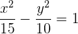
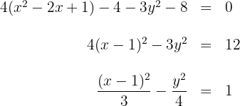
1
2
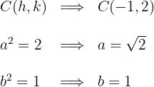
1
Encontramos la ecuación ordinaria de la hipérbola

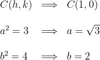
De la ecuación de la hipérbola se obtiene el centro y

Encontramos el valor de 

Conociendo
, su centro y que su eje real es horizontal, ya podemos encontrar los vértices
, los focos,
y la excentricidad 



Con los datos anteriores, representamos gráficamente la hipérbola

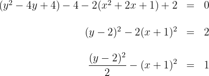
2
Encontramos la ecuación ordinaria de la hipérbola

De la ecuación de la hipérbola se obtiene el centro y

Encontramos el valor de 

Conociendo
, su centro y que su eje real es horizontal, ya podemos encontrar los vértices
, los focos,
y la excentricidad 



Con los datos anteriores, representamos gráficamente la hipérbola

Hallar la ecuación de una hipérbola con centro en el origen, eje real horizontal igual
y distancia focal
.
A partir de conocer el eje real y la distancia focal se tiene

Encontramos el valor de 

La ecuación de la hipérbola es

El eje principal de una hipérbola es horizontal y mide
. Si el centro se encuentra en el origen y la curva pasa por el punto
, hallar su ecuación.
La ecuación de la hipérbola es de la forma

Para obtener
utilizamos el eje principal

Para encontrar
sustituimos
y el punto
en la ecuación de la hipérbola

La ecuación buscada es

Calcular la ecuación reducida de la hipérbola horizontal, cuya distancia focal es
, la distancia de un foco al vértice más próximo es
y su centro se encuentra en el origen.
La ecuación de la hipérbola es de la forma

A partir de conocer la distancia focal y la distancia del foco al vértice, se tiene

Encontramos el valor de 

La ecuación de la hipérbola es

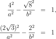
Determina la ecuación reducida de la hipérbola horizontal con centro en el origen y que pasa por los puntos
y 
La ecuación de la hipérbola es de la forma

Para encontrar
y
sustituimos los puntos dados en la ecuación de la hipérbola

Resolviendo el sistema de ecuaciones se tiene

La ecuación buscada es

Determina la ecuación reducida de una hipérbolan centro en el origen, que pasa por el punto
y su excentricidad es 
La ecuación de la hipérbola es de la forma

sustituimos el punto dado en la ecuación de la hipérbola y obtenemos la ecuación

A partir de la excentricidad se obtiene la ecuación

Resolviendo el sistema formado por las dos ecuaciones anteriores se tiene que
y 
La ecuación buscada es

Determina la ecuación reducida de la hipérbola horizontal con centro en el origen, sabiendo que un foco dista de los vértices de la hipérbola
y
.
A partir de los datos encontramos el eje real y el eje focal

Encontramos el valor de 

La ecuación de la hipérbola es

Determina la posición relativa de la recta
con respecto a la hipérbola 
Resolvemos el sistema de ecuacioones formado por la recta y la hipérbola

Se obtienen los puntos de intersección
y 
Así, la recta es secante a la hipérbola

Una hipérbola equilátera pasa por el punto
. Haya su ecuación referida a sus asíntotas como ejes, y las coordenadas de los vértices y los focos.
La ecuación de la hipérbola equilátera es

Sustituimos el punto por donde pasa la hipérbola

Así, la ecuación referida a sus asíntotas como ejes es

Para encontrar los vértices intersectamos la recta que contiene a los vértices con la hipérbola

Los vértices son
y 
Sabemos que
y su ecuación asociada es
. Para encontrar los focos intersectamos la ecuación anterior con la recta que contiene a los vértices

Los focos son
y 

Resumir con IA:

Apuntes es una plataforma dirigida al estudio y la práctica de las matemáticas a través de la teoría y ejercicios interactivos que ponemos a vuestra disposición. Esta información está disponible para todo aquel/aquella que quiera profundizar en el aprendizaje de esta ciencia. Será un placer ayudaros en caso de que tengáis dudas frente algún problema, sin embargo, no realizamos un ejercicio que nos presentéis de 0 sin que hayáis si quiera intentado resolverlo. Ánimo, todo esfuerzo tiene su recompensa.
Hallar el vértice foco distancia focal la directriz la ecuación de la parábola y graficar V (-5,0) D>X=0
Calcula los elementos y las ecuaciones de la parábola como se hace eso
Hola se supone que para hacerlo te tienen que dar datos, por ejemplo si el vértice esta en el origen o no, si te dan la coordenada del foco o la ecuación directriz, si es parábola vertical u horizontal, según sea el caso, teniendo los datos necesarios solo tienes que sustituir en las fórmulas.
Por ejemplo encontrar la ecuación de la parábola con vértice en el origen y foco F(1,0):
La parábola es horizontal y tiene de parámetro p=1 y se sustituye en y^2=4px i x=-p quedando y^2=4(1)x y x=-1 o y^2=4x y x+1=0, ecuación de la parábola y directriz.
Una circunferencia tiene su centro en el eje X y pasa por los puntos (-1,5) y (2,3) determina su ecuación
Encuentra la ecuación de la elipse con eje horizontal, centro en (3,−2) semieje mayor de 5 unidades y semieje menor de 3 unidades
Calcula la distancia focal de la elipse cuyos ejes miden 10 y 6 unidades
¿Cómo crees que estas formas geométricas pueden influir en el diseño arquitectónico contemporáneo?
determinar la ecuacion dela hiperbola c(4,3) semieje real 2 eje real paralelo de las absisas exentricidad 1,5
Hallar la ecuación de la hipérbola con c(4,3), semieje real 2, eje real paralelo a las absisas
Excentricidad e=1,5