Si el eje principal (también conocido como eje mayor) de una hipérbola está en el de ordenadas y además su centro se localiza en el origen, entonces se obtendrá la siguiente ecuación 

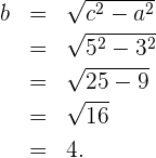
La ecuación (1) se conoce como la ecuación reducida de la hipérbola de eje vertical. Dicho lo anterior, se tiene la siguiente información de la elipse:
- El centro tiene coordenada

- Los vértices tienen coordenadas
y 
- Se satisface la relación

- Los focos tienen coordenadas
y 
- El eje principal tiene longitud de

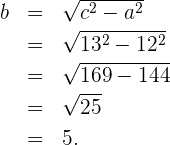
- Las asíntotas de la hipérbola son las rectas

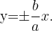
Ejemplos:1. Hallar la ecuación de la hipérbola de foco
, vértice
y centro en el origen.
Solución:
Dado que conocemos que la hipérbola tiene centro en el origen y que tiene un foco en la coordenada
, inmediatamente sabemos que
Asimismo, obtenemos que
ya que la hipérbola tiene vértice en la coordenada
Por lo tanto solo resta encontrar el valor de
Así

Entonces, siguiendo la ecuación (1), se tiene la ecuación de la hipérbola deseada


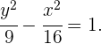
2. Hallar la ecuación de la hipérbola de focos en
y
con eje principal de longitud
y centro en el origen. Además, graficar la hipérbola y sus asíntotas.
Solución:
Dado que los focos tienen coordenadas
y
tenemos que
. Ahora bien, conocemos que el eje principal, de longitud
, es
. Así, tenemos la ecuación
, y por tanto,
Con esto podemos obtener el valor de
como sigue:

Así, la ecuación de la hipérbola es

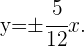
Y las asíntotas de la hipérbola son:


Resumir con IA:

Apuntes es una plataforma dirigida al estudio y la práctica de las matemáticas a través de la teoría y ejercicios interactivos que ponemos a vuestra disposición. Esta información está disponible para todo aquel/aquella que quiera profundizar en el aprendizaje de esta ciencia. Será un placer ayudaros en caso de que tengáis dudas frente algún problema, sin embargo, no realizamos un ejercicio que nos presentéis de 0 sin que hayáis si quiera intentado resolverlo. Ánimo, todo esfuerzo tiene su recompensa.
Hallar el vértice foco distancia focal la directriz la ecuación de la parábola y graficar V (-5,0) D>X=0
Calcula los elementos y las ecuaciones de la parábola como se hace eso
Hola se supone que para hacerlo te tienen que dar datos, por ejemplo si el vértice esta en el origen o no, si te dan la coordenada del foco o la ecuación directriz, si es parábola vertical u horizontal, según sea el caso, teniendo los datos necesarios solo tienes que sustituir en las fórmulas.
Por ejemplo encontrar la ecuación de la parábola con vértice en el origen y foco F(1,0):
La parábola es horizontal y tiene de parámetro p=1 y se sustituye en y^2=4px i x=-p quedando y^2=4(1)x y x=-1 o y^2=4x y x+1=0, ecuación de la parábola y directriz.
Una circunferencia tiene su centro en el eje X y pasa por los puntos (-1,5) y (2,3) determina su ecuación
Encuentra la ecuación de la elipse con eje horizontal, centro en (3,−2) semieje mayor de 5 unidades y semieje menor de 3 unidades
Calcula la distancia focal de la elipse cuyos ejes miden 10 y 6 unidades
¿Cómo crees que estas formas geométricas pueden influir en el diseño arquitectónico contemporáneo?
determinar la ecuacion dela hiperbola c(4,3) semieje real 2 eje real paralelo de las absisas exentricidad 1,5
Hallar la ecuación de la hipérbola con c(4,3), semieje real 2, eje real paralelo a las absisas
Excentricidad e=1,5