Capítulos
Es el lugar geométrico de los puntos del plano cuya suma de distancias a dos puntos fijos llamados focos es constante.
Elementos de la elipse
1Focos: Son los puntos fijos
y
.
2 Eje focal: Es la recta que pasa por los focos.
3Eje secundario: Es la mediatriz del segmento
.
4Centro: Es el punto de intersección de los ejes.
5Radios vectores: Son los segmentos que van desde un punto de la elipse a los focos:
y
.
6Distancia focal: Es el segmento
de longitud
,
es el valor de la semidistancia focal.
7Vértices: Son los puntos de intersección de la elipse con los ejes:
y
.
8Eje mayor: Es el segmento
de longitud
,
es el valor del semieje mayor.
9Eje menor: Es el segmento
de longitud
,
es el valor del semieje menor.
10Ejes de simetría: Son las rectas que contienen al eje mayor o al eje menor.
11Centro de simetría: Coincide con el centro de la elipse, que es el punto de intersección de los ejes de simetría.
Relación entre la distancia focal y los semiejes

Viene dada por
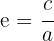
Excentricidad
Es un número que mide en mayor o menor achatamiento de la elipse. Y es igual al cociente entre su semidistancia focal y su semieje mayor.
con 
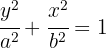
Ecuación reducida
Si el eje principal está en el de abscisas se obtendrá la siguiente ecuación:
Las coordenadas de los focos son:
y 
Elipse con los focos en el eje OY
Si el eje principal está en el de ordenadas se obtendrá la siguiente ecuación:

Las coordenadas de los focos son:
y 
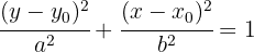
Elipse con eje paralelos a OX y centro distinto al origen
Si el centro de la elipse
y el eje principal es paralelo a
, los focos tienen de coordenadas
y
. Y la ecuación de la elipse será:

Al quitar denominadores y desarrollar las ecuaciones se obtiene, en general, una ecuación de la forma:

Donde
y
tienen el mismo signo.
Elipse con eje paralelo a OY y centro distinto al origen
Si el centro de la elipse
y el eje principal es paralelo a
, los focos tienen de coordenadas
y
. Y la ecuación de la elipse será:

Al quitar denominadores y desarrollar las ecuaciones se obtiene, en general, una ecuación de la forma:

Donde
y
tienen el mismo signo.
Resumir con IA:









Apuntes es una plataforma dirigida al estudio y la práctica de las matemáticas a través de la teoría y ejercicios interactivos que ponemos a vuestra disposición. Esta información está disponible para todo aquel/aquella que quiera profundizar en el aprendizaje de esta ciencia. Será un placer ayudaros en caso de que tengáis dudas frente algún problema, sin embargo, no realizamos un ejercicio que nos presentéis de 0 sin que hayáis si quiera intentado resolverlo. Ánimo, todo esfuerzo tiene su recompensa.
Hallar el vértice foco distancia focal la directriz la ecuación de la parábola y graficar V (-5,0) D>X=0
Calcula los elementos y las ecuaciones de la parábola como se hace eso
Hola se supone que para hacerlo te tienen que dar datos, por ejemplo si el vértice esta en el origen o no, si te dan la coordenada del foco o la ecuación directriz, si es parábola vertical u horizontal, según sea el caso, teniendo los datos necesarios solo tienes que sustituir en las fórmulas.
Por ejemplo encontrar la ecuación de la parábola con vértice en el origen y foco F(1,0):
La parábola es horizontal y tiene de parámetro p=1 y se sustituye en y^2=4px i x=-p quedando y^2=4(1)x y x=-1 o y^2=4x y x+1=0, ecuación de la parábola y directriz.
Una circunferencia tiene su centro en el eje X y pasa por los puntos (-1,5) y (2,3) determina su ecuación
Encuentra la ecuación de la elipse con eje horizontal, centro en (3,−2) semieje mayor de 5 unidades y semieje menor de 3 unidades
Calcula la distancia focal de la elipse cuyos ejes miden 10 y 6 unidades
¿Cómo crees que estas formas geométricas pueden influir en el diseño arquitectónico contemporáneo?
determinar la ecuacion dela hiperbola c(4,3) semieje real 2 eje real paralelo de las absisas exentricidad 1,5
Hallar la ecuación de la hipérbola con c(4,3), semieje real 2, eje real paralelo a las absisas
Excentricidad e=1,5