Capítulos
Para hallar los puntos comunes a una cónica y una recta se debe resolver el sistema formado por las ecuaciones de ambas.
En general se obtiene un ecuación de segundo grado, que tendrá dependiendo del signo del discriminante,
las siguientes soluciones:
Secantes
En este caso tenemos que el discriminante es positivo
es decir, la cuadrática obtenida por las dos ecuaciones tendra dos soluciones las cuales seran
es decir, se tendra la la recta y la cónica coincidirán en dos puntos y por tanto seran secantes

Tangentes
En este caso, tenemos que el discriminante es igual a cero
y se tendra una sola solución para la ecuación cuadrática resultante
es decir, la recta y la cónica serán tangentes.

Exteriores
Finalmente tenemos que el discriminante es menor a cero, en este caso no se tendrán soluciones reales en la ecuación cuadrática por lo tanto la recta y la cónica seran exteriores

Ejemplos de ejercicios entre la posición relativa de una cónica y una recta
1 Calcula la posición relativa de la circunferencia
y la recta
.
Tenemos que
entonces
resolviendo la ecuación cuadrática
es decir, tenemos dos soluciones
Utilizando estas dos coordenadas como abscisa , encontramos la ordenada teniendo que los dos puntos de corte entre la cónica y la recta son
Concluyendo que son secantes.

2 Estudiar la posición relativa de la circunferencia
con la rectas:
a 
En este caso
sustituyendo
Resolvemos la ecuación cuadrática, obteniendo que la solución a la ecuación y los puntos de coincidencia son
Al ser dos puntos, concluimos que son secantes.

b 
Con esta recta tendremos que
sustituyendo
resolviendo la ecuación cuadrática, obtenemos una solución
Por tanto tangentes.

c 
Resolvemos el sistema de ecuaciones
Sustituyendo obtenemos que
Notemos que al calcular el discriminante de la ecuación cuadrática anterior obtenemos que
es decir, es menor que cero y por tanto son exteriores

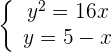
3 Calcular la posición relativa de la recta
respecto a la parábola
.
Iniciamos resolviendo el sistema de ecuaciones
Sustituyendo
por tanto
De lo anterior obtenemos las coordenadas de los puntos
es decir, al ser dos puntos concluimos que son secantes.

Resumir con IA:









Apuntes es una plataforma dirigida al estudio y la práctica de las matemáticas a través de la teoría y ejercicios interactivos que ponemos a vuestra disposición. Esta información está disponible para todo aquel/aquella que quiera profundizar en el aprendizaje de esta ciencia. Será un placer ayudaros en caso de que tengáis dudas frente algún problema, sin embargo, no realizamos un ejercicio que nos presentéis de 0 sin que hayáis si quiera intentado resolverlo. Ánimo, todo esfuerzo tiene su recompensa.
Hallar el vértice foco distancia focal la directriz la ecuación de la parábola y graficar V (-5,0) D>X=0
Calcula los elementos y las ecuaciones de la parábola como se hace eso
Hola se supone que para hacerlo te tienen que dar datos, por ejemplo si el vértice esta en el origen o no, si te dan la coordenada del foco o la ecuación directriz, si es parábola vertical u horizontal, según sea el caso, teniendo los datos necesarios solo tienes que sustituir en las fórmulas.
Por ejemplo encontrar la ecuación de la parábola con vértice en el origen y foco F(1,0):
La parábola es horizontal y tiene de parámetro p=1 y se sustituye en y^2=4px i x=-p quedando y^2=4(1)x y x=-1 o y^2=4x y x+1=0, ecuación de la parábola y directriz.
Una circunferencia tiene su centro en el eje X y pasa por los puntos (-1,5) y (2,3) determina su ecuación
Encuentra la ecuación de la elipse con eje horizontal, centro en (3,−2) semieje mayor de 5 unidades y semieje menor de 3 unidades
Calcula la distancia focal de la elipse cuyos ejes miden 10 y 6 unidades
¿Cómo crees que estas formas geométricas pueden influir en el diseño arquitectónico contemporáneo?
determinar la ecuacion dela hiperbola c(4,3) semieje real 2 eje real paralelo de las absisas exentricidad 1,5
Hallar la ecuación de la hipérbola con c(4,3), semieje real 2, eje real paralelo a las absisas
Excentricidad e=1,5