Capítulos
Repaso
A partir de la ecuación canónica de la parábola es fácil determinar muchos de sus elementos sin necesidad de hacer cuentas complicadas. De la misma manera, dados algunos de elementos de una parábola, podemos encontrar su ecuación.
A continuación presentamos un resumen de lo más importante que necesitas saber sobre las parábolas.
Ecuación canónica u ordinaria:
1 
Abre hacia la derecha
Foco 
Directriz 
2 
Abre hacia la izquierda
Foco 
Directriz 
3 
Abre hacia arriba
Foco 
Directriz 
4 
Abre hacia abajo
Foco 
Directriz 
El vértice de la parábola es el punto
.
Cuando la parábola tiene como vértice el origen , ocurre lo siguiente con su ecuación:
1 
Abre hacia la derecha
Foco 
Directriz 
2 
Abre hacia la izquierda
Foco 
Directriz 
3 
Abre hacia arriba
Foco 
Directriz 
4 
Abre hacia abajo
Foco 
Directriz 
representa la medida del lado recto o LR.
es la distancia que hay del vértice al foco y del vértice a la directriz.
Encuentra elementos de la parábola
En base a la ecuación de las siguientes parábolas determina las coordenadas de sus focos, ecuaciones de sus directrices, distancia de sus lados rectos y la gráfica.
La forma de proceder será determinar, en forma reducida, las ecuaciones de las parábolas, indicando el valor del parámetro
, y con ello las coordenadas del foco y la ecuación de la directriz.
1 
Despejamos el término cuadrático

Identificamos el valor de p

Localizamos el foco y encontramos la ecuación de la directriz


Finalmente graficamos usando los datos obtenidos

2 
Despejamos el término cuadrático

Identificamos el valor de p

Localizamos el foco y encontramos la ecuación de la directriz


Finalmente graficamos usando los datos obtenidos

3 
Despejamos el término cuadrático

Identificamos el valor de p

Localizamos el foco y encontramos la ecuación de la directriz


Finalmente graficamos usando los datos obtenidos

Calcular las coordenadas del vértice y del foco, y la ecuación de la directriz de cada parábola:
La forma de proceder nuevamente será determinar, en forma reducida, las ecuaciones de las parábolas, indicando el valor del parámetro
, y con ello las coordenadas del foco y del vértice.
1 
Completamos el trinomio al cuadrado perfecto y lo despejamos


Factorizamos

Con la ecuación identificamos sus elementos


Con el vértice y el valor del parámetro
, localizamos el foco y la directriz

Finalmente ubicamos en la gráfica

2 
Completamos el trinomio al cuadrado perfecto y lo despejamos


Factorizamos

Con la ecuación identificamos sus elementos


Con el vértice y el valor del parámetro
, localizamos el foco y la directriz

Finalmente ubicamos en la gráfica

3 
Completamos el trinomio al cuadrado perfecto y lo despejamos


Factorizamos

Con la ecuación identificamos sus elementos


Con el vértice y el valor del parámetro
, localizamos el foco y la directriz

Finalmente ubicamos en la gráfica

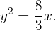
Hallar la ecuación de la directriz y la longitud del lado recto de la parábola
.
La ecuación de la parábola la podemos expresar de la siguiente manera:

De aquí se deduce que

Por lo tanto, el foco tiene coordenadas
y la ecuación de la directriz es
.
El lado recto de una parábola es la cuerda trazada por el foco y que es paralela a su directriz. Para calcular la longitud del lado recto se calcula el valor de "
" para
. Así, si
, entonces

Aquí, hemos tomado el valor positivo ya que estamos hablando de distancia.
Así, la longitud del lado recto es dos veces esta distancia, esto es,


Calcula la ecuación de la parábola dados un par de elementos
Determina las ecuaciones de las parábolas que tienen:
-
- De directriz
, de foco
.
- De directriz
-
- De directriz
, de foco
.
- De directriz
-
- De directriz
, de foco
.
- De directriz
-
- De directriz
, de vértice
.
- De directriz
1 De directriz
, de foco
.
Al localizar la directriz y el foco es fácil deducir que la parábola abre hacia la derecha y su vértice es el origen.
Sabiendo que el foco para estas parábolas tiene coordenadas
, concluimos que
.
La ecuación es


2 De directriz y = -5, de foco (0, 5).
Al localizar la directriz y el foco es fácil deducir que la parábola abre hacia arriba y su vértice es el origen.
Sabiendo que el foco para estas parábolas tiene coordenadas
, concluimos que
.
Sustituimos en la ecuación:


3 De directriz
, de foco
.
Al localizar la directriz y el foco es fácil deducir que la parábola abre hacia la izquierda y su vértice es el origen.
El foco para parabolas que abren hacia la izquierda tiene coordenadas
, esto significa que

Sustituimos en la ecuación:


4 De directriz
, de vértice
.
Al localizar la directriz y el vértice es fácil deducir que la parábola abre hacia abajo y su vértice es el origen.
Para estas parábolas la ecuación de la directriz es
. Entonces

La ecuación es de la forma:


Determina las ecuaciones de las parábolas dado el foco y el vértice.
-
- De foco
, de vértice
.
- De foco
-
- De foco
, de vértice
.
- De foco
-
- De foco
, de vértice
.
- De foco
-
- De foco
, de vértice
.
- De foco
1 De foco
, de vértice
.
Al localizar el foco y el vértice es fácil deducir que la parábola abre hacia la derecha y su vértice es el origen. Por lo que su ecuación es de la forma

Recordemos que para estas parábolas, el foco se encuentra en
, por lo tanto

Finalmente la parábola tiene una ecuación de la forma:


2 De foco (3, 2), de vértice (5, 2).
Ubicando el vértice y el foco, podemos notar que el foco esta a la izquierda del vértice, lo que nos indica que la parábola abre hacia la izquierda y su ecuación es de la forma:

Calculamos la distancia del vértice al foco y obtenemos que

Sustituimos en la ecuación:


3 De foco (-2, 5), de vértice (-2, 2).
Ubicando el vértice y el foco, podemos notar que el foco esta arriba del vértice, lo que nos indica que la parábola abre hacia arriba y su ecuación es de la forma:

Calculamos la distancia del vértice al foco y obtenemos que

Sustituimos en la ecuación:


4 De foco (3, 4), de vértice (1, 4).
Ubicando el vértice y el foco, podemos notar que el foco esta a la derecha del vértice, lo que nos indica que la parábola abre hacia la derecha y su ecuación es de la forma:

Calculamos la distancia del vértice al foco y obtenemos que

Sustituimos en la ecuación:


Determina la ecuación de la parábola que tiene por directriz la recta:
y por foco el punto
.
Sabemos que la distancia entre el vértice y el foco es igual a la distancia entre el vértice y la directriz.

La distancia de una recta
a un punto
está dado por

Así que, si consideramos al vértice que no conocemos como el punto
, la primera ecuación es equivalente a


Elevamos al cuadrado para eliminar la raíz del lado izquierdo y desarrollamos


Despejamos, dejando las variable
de un lado, y las
de otro

Factorizamos

Hallar una ecuación para la parábola que tiene un eje horizontal, su vértice en
y que pasa por el punto 
Dado que el eje es horizontal y su vértice está en el punto
, entonces de la ecuación

obtenemos la relación

Si la parábola pasa por el punto
, entonces

Así, tenemos la ecuación

Simplificando la ecuación de arriba tenemos que la ecuación de la parábola que buscamos es


Parábola que pasa por 3 puntos
Hallar la ecuación de la parábola de eje vertical y que pasa por los puntos:

La ecuación de una parábola vertical es de la forma

Como los puntos A, B y C pasan por la parábola, sus coordenadas satisfacen su ecuación

Resolvemos el sistema de ecuaciones y obtenemos que

Y así la ecuación de la parábola es

Posición relativa de una recta y parábola
Calcular la posición relativa de la recta

respecto a la parábola

Para calcula la posición relativa entre ambos objetos necesitamos ver si existen puntos de intersección. Las coordenadas de dichos puntos deberían satisfacer ambas ecuaciones.

Para resolver el sistema, podemos elevar al cuadrado la segunda ecuación e igualar
de ambas ecuaciones.

Desarrollamos

Resolvemos la cuadrática vía la fórmula general.

Ya tenemos las coordenadas
, para obtener las coordenadas
sustituimos en una de las ecuaciones, en este caso la más sencilla es

Entonces

Y así, los puntos de intersección son:

Por lo que la recta es secante a la parábola, como lo muestra la siguiente imagen

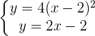
Calcular la posición relativa de la recta

respecto a la parábola

Para calcula la posición relativa entre ambos objetos necesitamos ver si existen puntos de intersección. Las coordenadas de dichos puntos deberían satisfacer ambas ecuaciones.

Para resolver el sistema, igualamos ambas ecuaciones y resolvemos para 

Usando la fórmula general para resolver la ecuación cuadrática de arriba, obtenemos que las soluciones son

Ya tenemos las coordenadas
. Para obtener las coordenadas
, sustituimos en una de las ecuaciones iniciales. Sustituimos en la segunda ecuación

Y así, los puntos de intersección son:

Por lo que la recta es secante a la parábola, como lo muestra la siguiente imagen

Resumir con IA:









Apuntes es una plataforma dirigida al estudio y la práctica de las matemáticas a través de la teoría y ejercicios interactivos que ponemos a vuestra disposición. Esta información está disponible para todo aquel/aquella que quiera profundizar en el aprendizaje de esta ciencia. Será un placer ayudaros en caso de que tengáis dudas frente algún problema, sin embargo, no realizamos un ejercicio que nos presentéis de 0 sin que hayáis si quiera intentado resolverlo. Ánimo, todo esfuerzo tiene su recompensa.
Hallar el vértice foco distancia focal la directriz la ecuación de la parábola y graficar V (-5,0) D>X=0
Calcula los elementos y las ecuaciones de la parábola como se hace eso
Hola se supone que para hacerlo te tienen que dar datos, por ejemplo si el vértice esta en el origen o no, si te dan la coordenada del foco o la ecuación directriz, si es parábola vertical u horizontal, según sea el caso, teniendo los datos necesarios solo tienes que sustituir en las fórmulas.
Por ejemplo encontrar la ecuación de la parábola con vértice en el origen y foco F(1,0):
La parábola es horizontal y tiene de parámetro p=1 y se sustituye en y^2=4px i x=-p quedando y^2=4(1)x y x=-1 o y^2=4x y x+1=0, ecuación de la parábola y directriz.
Una circunferencia tiene su centro en el eje X y pasa por los puntos (-1,5) y (2,3) determina su ecuación
Encuentra la ecuación de la elipse con eje horizontal, centro en (3,−2) semieje mayor de 5 unidades y semieje menor de 3 unidades
Calcula la distancia focal de la elipse cuyos ejes miden 10 y 6 unidades
¿Cómo crees que estas formas geométricas pueden influir en el diseño arquitectónico contemporáneo?
determinar la ecuacion dela hiperbola c(4,3) semieje real 2 eje real paralelo de las absisas exentricidad 1,5
Hallar la ecuación de la hipérbola con c(4,3), semieje real 2, eje real paralelo a las absisas
Excentricidad e=1,5