Bienvenido al apasionante mundo de la elipse, una figura geométrica que ha cautivado a matemáticos y científicos durante siglos. En esta colección de ejercicios y problemas, explorarás los secretos y propiedades de la elipse.
La elipse es mucho más que una simple forma ovalada. Es una curva con propiedades únicas que la hacen indispensable en diversas áreas del conocimiento. A través de estos desafíos, te adentrarás en el estudio de su ecuación, sus elementos característicos como los focos y vértices, y las relaciones entre sus diferentes parámetros.
Ya seas un estudiante que recién se introduce en el mundo de la elipse o un entusiasta de las matemáticas que busca desafíos más complejos, esta colección te brindará una base sólida para comprender y aplicar los principios de la elipse en diversas situaciones. ¡Prepárate para afinar tu pensamiento analítico!
Elementos de la elipse
Representa gráficamente y determina las coordenadas de los focos, de los vértices y la excentricidad de las siguientes elipses.

1 Eje mayor
La ecuación de la elipse ya está en forma canónica por lo que procedemos a obtener el valor del semieje mayor

Y así encontrar los vértices que forman el eje mayor

2 Eje menor
Entonces el valor del semieje menor es

Por lo tanto, los vértices que se encuentran en el eje menor son

3 Focos
Finalmente calculamos el valor de la distancia semifocal

Y con éste, localizar los focos

4 Excentricidad
La excentricidad es igual al cociente de la distancia semifocal y el semieje mayor

5 Gráfica


1 Eje mayor
La ecuación de la elipse ya está en forma canónica por lo que procedemos a obtener el valor del semieje mayor

Y así encontrar los vértices que forman el eje mayor

2 Eje menor
Entonces el valor del semieje menor es

Por lo tanto, los vértices que se encuentran en el eje menor son

3 Focos
Finalmente calculamos el valor de la distancia semifocal

Y con éste, localizar los focos

4 Excentricidad
La excentricidad es igual al cociente de la distancia semifocal y el semieje mayor

5 Gráfica


1 Eje mayor
La ecuación de la elipse ya está en forma canónica por lo que procedemos a obtener el valor del semieje mayor

Y así encontrar los vértices que forman el eje mayor

2 Eje menor
Entonces el valor del semieje menor es

Por lo tanto, los vértices que se encuentran en el eje menor son

3 Focos
Finalmente calculamos el valor de la distancia semifocal

Y con éste, localizar los focos

4 Excentricidad
La excentricidad es igual al cociente de la distancia semifocal y el semieje mayor

5 Gráfica


1 Obtener ecuación canónica

2 Eje mayor
Obtenemos el valor del semieje mayor

Y así encontrar los vértices que forman el eje mayor

3 Eje menor
Entonces el valor del semieje menor es

Por lo tanto, los vértices que se encuentran en el eje menor son

4 Focos
Finalmente calculamos el valor de la distancia semifocal

Y con éste, localizar los focos

5 Excentricidad
La excentricidad es igual al cociente de la distancia semifocal y el semieje mayor

6 Gráfica


1 Eje mayor
La ecuación de la elipse ya está en forma canónica por lo que procedemos a obtener el valor del semieje mayor

Y así encontrar los vértices que forman el eje mayor

2 Eje menor
Entonces el valor del semieje menor es

Por lo tanto, los vértices que se encuentran en el eje menor son

3 Focos
Finalmente calculamos el valor de la distancia semifocal

Y con éste, localizar los focos

4 Excentricidad
La excentricidad es igual al cociente de la distancia semifocal y el semieje mayor

5 Gráfica


1 Obtener ecuación canónica

2 Eje mayor
La ecuación de la elipse ya está en forma canónica por lo que procedemos a obtener el valor del semieje mayor

Y así encontrar los vértices que forman el eje mayor

3 Eje menor
Entonces el valor del semieje menor es

Por lo tanto, los vértices que se encuentran en el eje menor son

4 Focos
Finalmente calculamos el valor de la distancia semifocal

Y con éste, localizar los focos

5 Excentricidad
La excentricidad es igual al cociente de la distancia semifocal y el semieje mayor

6 Gráfica


1 Obtener ecuación canónica

Completamos el trinomio al cuadrado perfecto

Cambiamos los trinomios por los binomios al cuadrado

Dividimos todo por 4

2 Centro
A partir de la ecuación de la elipse canónica encontramos el centro

3 Eje mayor
La ecuación de la elipse ya está en forma canónica por lo que procedemos a obtener el valor del semieje mayor

Y así encontrar los vértices que forman el eje mayor

4 Eje menor
El valor del semieje menor es

Por lo tanto, los vértices que se encuentran en el eje menor son

5 Focos
Finalmente calculamos el valor de la distancia semifocal

Y con éste, localizar los focos

6 Gráfica


1 Obtener ecuación canónica

Completamos el trinomio al cuadrado perfecto

Cambiamos los trinomios por los binomios al cuadrado

Dividimos todo por 225

2 Centro
A partir de la ecuación de la elipse canónica encontramos el centro

3 Eje mayor
La ecuación de la elipse ya está en forma canónica por lo que procedemos a obtener el valor del semieje mayor

Y así encontrar los vértices que forman el eje mayor

4 Eje menor
El valor del semieje menor es

Por lo tanto, los vértices que se encuentran en el eje menor son

5 Focos
Finalmente calculamos el valor de la distancia semifocal

Y con éste, localizar los focos

6 Gráfica


1 Obtener ecuación canónica

Completamos el trinomio al cuadrado perfecto

Cambiamos los trinomios por los binomios al cuadrado

Dividimos todo por 12

2 Centro
A partir de la ecuación de la elipse canónica encontramos el centro

3 Eje mayor
La ecuación de la elipse ya está en forma canónica por lo que procedemos a obtener el valor del semieje mayor

Y así encontrar los vértices que forman el eje mayor

4 Eje menor
El valor del semieje menor es

Por lo tanto, los vértices que se encuentran en el eje menor son

5 Focos
Finalmente calculamos el valor de la distancia semifocal

Y con éste, localizar los focos

6 Gráfica


1 Obtener ecuación canónica

Completamos el trinomio al cuadrado perfecto

Cambiamos los trinomios por los binomios al cuadrado

Dividimos todo por 9

2 Centro
A partir de la ecuación de la elipse canónica encontramos el centro

3 Eje mayor
La ecuación de la elipse ya está en forma canónica por lo que procedemos a obtener el valor del semieje mayor

Y así encontrar los vértices que forman el eje mayor

4 Eje menor
El valor del semieje menor es

Por lo tanto, los vértices que se encuentran en el eje menor son

5 Focos
Finalmente calculamos el valor de la distancia semifocal

Y con éste, localizar los focos

6 Gráfica

Ecuación de la elipse
Halla la ecuación de la elipse conociendo:
a
b
c
d
a 
El valor de
es la distancia del centro al vértice A, mientras que el valor de
es la distancia del centro al foco, entonces

Los valores
,
y
guardan una relación pitagórica, es decir

Despejamos para calcular el valor de 


Concluímos que

b 
El valor de
es la distancia del centro al vértice A, mientras que el valor de
es la distancia del centro al foco, entonces

Los valores
,
y
guardan una relación pitagórica, es decir

Despejamos para calcular el valor de 


Concluímos que

c 
El valor de
es la distancia del centro al vértice A, mientras que el valor de
es la distancia del centro al foco, entonces

Los valores
,
y
guardan una relación pitagórica, es decir

Despejamos para calcular el valor de 


Concluímos que

d 
El valor de
es la distancia del centro al vértice A, mientras que el valor de
es la distancia del centro al foco, entonces

Los valores
,
y
guardan una relación pitagórica, es decir

Despejamos para calcular el valor de 


Concluímos que

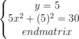
Escribe la ecuación canónica de la elipse con centro en el origen que pasa por el punto
y cuyo eje menor mide
y se encuentra sobre el eje 
El eje menor mide 

Tiene centro en el origen y el eje menor está sobre el eje Y, por lo que la ecuación canónica es del tipo

Como el punto (2,1) pertence a la elipse, sus coordenadas cumplen con la ecuación canónica

Despejamos para obtener el valor de 

Conociendo los valores de
y
, concluimos que

La distancia focal de una elipse con centro en el origen es
. Un punto de la elipse dista de sus focos
y
, respectivamente. Calcular la ecuación canónica de dicha elipse si el eje mayor está sobre el eje 
La distancia focal es igual al valor de 

Recordemos que la suma de las distancia de un punto en la elipse a los focos es igual a 

Los valores
,
y
guardan una relación pitagórica, es decir

Despejamos para calcular el valor de 


Conociendo los valores de
y
, concluimos que

Escribe la ecuación canónica de la elipse que pasa por los puntos:

Como pasa por los puntos:
, entonces sus coordenadas cumplen la ecuación canónica de la elipse. Esto es

Resolvemos el sistema

Entonces

Despejamos 

Finalmente

Determina la ecuación canónica de un elipse con centro en el origen y eje mayor en el eje
, cuya distancia focal es
y el área del rectángulo con lados que midan lo mismo que los ejes (mayor y menor) es 
Como los lados del rectángulo son los ejes, y estos miden
y
entonces

La distancia focal es igual a 

Los valores
,
y
guardan una relación pitagórica, es decir

Esto nos conduce a tener un sistema de dos ecuaciones

De la primera ecuación despejamos
y de la segunda 

Usamos
de la segunda ecuación para sustituir en la primera

Desarrollamos

Resolvemos con la fórmula general y obtenemos el valor de 

Conociendo los valores de
y
, concluimos que

Coordenadas de cuerdas de la elipse
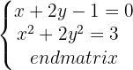
Hallar las coordenadas de la cuerda que intercepta
la recta:
en la elipse de ecuación: 
1 Encontrar puntos de intersección
Los puntos de intersección son los que resuelven el sistema de las ecuaciones de la recta y la elipse.

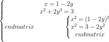
Para resolver podemos despejar
de la primera ecuación y elevar al cuadrado. También despejamos
de la segunda ecuación

Igualamos ambas ecuaciones



Usamos la fórmula general para encontrar las soluciones


Las soluciones para la coordenada
son


Las coordenadas
se calculan usando alguna ecuación del sistema, en este caso usaremos

Así que los puntos de interección están dados por


Hallar las coordenadas de la cuerda que intercepta
la recta:
en la elipse de ecuación: 
1 Encontrar puntos de intersección
Los puntos de intersección son los que resuelven el sistema de las ecuaciones de la recta y la elipse.

Para resolver podemos despejar
de la primera ecuación y elevar al cuadrado. También despejamos
de la segunda ecuación
Igualamos ambas ecuaciones



Usamos la fórmula general para encontrar las soluciones


Las soluciones para la coordenada
son


Las coordenadas
se calculan usando alguna ecuación del sistema, en este caso usaremos

Así que los puntos de interección están dados por


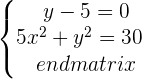
Hallar las coordenadas de la cuerda que intercepta
la recta:
en la elipse de ecuación: 
1 Encontrar puntos de intersección
Los puntos de intersección son los que resuelven el sistema de las ecuaciones de la recta y la elipse.

Para resolver podemos despejar
de la primera ecuación y elevar al cuadrado. También despejamos
de la segunda ecuación

Igualamos ambas ecuaciones



Usamos la fórmula general para encontrar las soluciones


Las soluciones para la coordenada
son


Las coordenadas
se calculan usando alguna ecuación del sistema, en este caso usaremos

Así que los puntos de interección están dados por


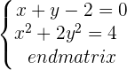
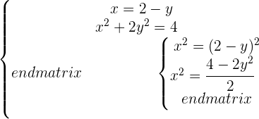
Hallar las coordenadas de la cuerda que intercepta
la recta:
en la elipse de ecuación: 
1 Encontrar puntos de intersección
Los puntos de intersección son los que resuelven el sistema de las ecuaciones de la recta y la elipse.

Para resolver basta con despejar
de la primera ecuación y sustituir en la segunda ecuación

Y obtenemos 
Así que los puntos de interección están dados por


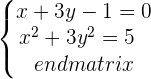
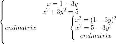
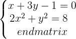
Hallar las coordenadas del punto medio de la cuerda que intercepta
la recta:
en la elipse de ecuación: 
1 Encontrar puntos de intersección
Los puntos de intersección son los que resuelven el sistema de las ecuaciones de la recta y la elipse.

Para resolver podemos despejar
de la primera ecuación y elevar al cuadrado. También despejamos
de la segunda ecuación

Igualamos ambas ecuaciones



Usamos la fórmula general para encontrar las soluciones


Las soluciones para la coordenada
son


Las coordenadas
se calculan usando alguna ecuación del sistema, en este caso usaremos

Así que los puntos de interección están dados por


2 Encontrar punto medio
El punto medio entre los puntos A y B está dado por


¿Sigues teniendo dudas sobre cómo se resuelven las elipses? Contacta con uno de nuestros profesores para clases particulares matematicas.
Resumir con IA:









Apuntes es una plataforma dirigida al estudio y la práctica de las matemáticas a través de la teoría y ejercicios interactivos que ponemos a vuestra disposición. Esta información está disponible para todo aquel/aquella que quiera profundizar en el aprendizaje de esta ciencia. Será un placer ayudaros en caso de que tengáis dudas frente algún problema, sin embargo, no realizamos un ejercicio que nos presentéis de 0 sin que hayáis si quiera intentado resolverlo. Ánimo, todo esfuerzo tiene su recompensa.
Hallar el vértice foco distancia focal la directriz la ecuación de la parábola y graficar V (-5,0) D>X=0
Calcula los elementos y las ecuaciones de la parábola como se hace eso
Hola se supone que para hacerlo te tienen que dar datos, por ejemplo si el vértice esta en el origen o no, si te dan la coordenada del foco o la ecuación directriz, si es parábola vertical u horizontal, según sea el caso, teniendo los datos necesarios solo tienes que sustituir en las fórmulas.
Por ejemplo encontrar la ecuación de la parábola con vértice en el origen y foco F(1,0):
La parábola es horizontal y tiene de parámetro p=1 y se sustituye en y^2=4px i x=-p quedando y^2=4(1)x y x=-1 o y^2=4x y x+1=0, ecuación de la parábola y directriz.
Una circunferencia tiene su centro en el eje X y pasa por los puntos (-1,5) y (2,3) determina su ecuación
Encuentra la ecuación de la elipse con eje horizontal, centro en (3,−2) semieje mayor de 5 unidades y semieje menor de 3 unidades
Calcula la distancia focal de la elipse cuyos ejes miden 10 y 6 unidades
¿Cómo crees que estas formas geométricas pueden influir en el diseño arquitectónico contemporáneo?
determinar la ecuacion dela hiperbola c(4,3) semieje real 2 eje real paralelo de las absisas exentricidad 1,5
Hallar la ecuación de la hipérbola con c(4,3), semieje real 2, eje real paralelo a las absisas
Excentricidad e=1,5