Se llama ecuación reducida a la ecuación de la hipérbola cuyos ejes coinciden con los ejes coordenadas, y, por tanto, el centro de hipérbola con el origen de coordenadas.Si el eje real está en el eje de abscisas las coordenadas de los focos son:
y 

Cualquier punto de la hipérbola cumple:

Esta expresión da lugar a:

Realizando las operaciones y considerando que
, llegamos a:

La excentricidad de la hipérbola es

Ejemplo 1. Hallar la ecuación de la hipérbola de foco
, de vértice
y de centro
.
1 El valor
es igual a la distancia del centro al vértice, por lo que 
2 El valor
es igual a la distancia del centro al foco, por lo que 
3 Calculamos el valor
empleando la fórmula 

luego 
4 Sustituimos en la ecuación reducida de la hipérbola

Ejemplo 2. Hallar la ecuación y la excentricidad de la hipérbola que tiene como focos los puntos
y
, y
como diferencia de los radios vectores.
1 El valor
es igual a la mitad de la diferencia de los radios vectores, por lo que 
2 El valor
es igual a la mitad de la distancia entre los focos, por lo que 
3 Calculamos el valor
empleando la fórmula 

luego 
4 Sustituimos en la ecuación reducida de la hipérbola

5 Calculamos la excentricidad realizando el cociente entre
y 

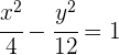
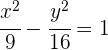
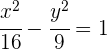
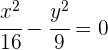
Ejemplo 3. Hallar las coordenadas de los vértices y de los focos, las ecuaciones de las asíntotas y la excentricidad de la hipérbola
.
1 Escribimos la ecuación de la hipérbola en su forma reducida, para lo cual dividimos ambos lados de la ecuación entre 

y obtenemos

2 A partir de la ecuación reducida obtenemos
, por lo que 
3 A partir de la ecuación reducida obtenemos
, por lo que 
4 Calculamos el valor
empleando la fórmula 

luego 
5 Calculamos la excentricidad realizando el cociente entre
y 

6 Calculamos las asíntotas igualando la parte izquierda de la ecuación de la hipérbola a cero

Despejando
, obtenemos las ecuaciones de las asíntotas

Resumir con IA:

Apuntes es una plataforma dirigida al estudio y la práctica de las matemáticas a través de la teoría y ejercicios interactivos que ponemos a vuestra disposición. Esta información está disponible para todo aquel/aquella que quiera profundizar en el aprendizaje de esta ciencia. Será un placer ayudaros en caso de que tengáis dudas frente algún problema, sin embargo, no realizamos un ejercicio que nos presentéis de 0 sin que hayáis si quiera intentado resolverlo. Ánimo, todo esfuerzo tiene su recompensa.
Hallar el vértice foco distancia focal la directriz la ecuación de la parábola y graficar V (-5,0) D>X=0
Calcula los elementos y las ecuaciones de la parábola como se hace eso
Hola se supone que para hacerlo te tienen que dar datos, por ejemplo si el vértice esta en el origen o no, si te dan la coordenada del foco o la ecuación directriz, si es parábola vertical u horizontal, según sea el caso, teniendo los datos necesarios solo tienes que sustituir en las fórmulas.
Por ejemplo encontrar la ecuación de la parábola con vértice en el origen y foco F(1,0):
La parábola es horizontal y tiene de parámetro p=1 y se sustituye en y^2=4px i x=-p quedando y^2=4(1)x y x=-1 o y^2=4x y x+1=0, ecuación de la parábola y directriz.
Una circunferencia tiene su centro en el eje X y pasa por los puntos (-1,5) y (2,3) determina su ecuación
Encuentra la ecuación de la elipse con eje horizontal, centro en (3,−2) semieje mayor de 5 unidades y semieje menor de 3 unidades
Calcula la distancia focal de la elipse cuyos ejes miden 10 y 6 unidades
¿Cómo crees que estas formas geométricas pueden influir en el diseño arquitectónico contemporáneo?
determinar la ecuacion dela hiperbola c(4,3) semieje real 2 eje real paralelo de las absisas exentricidad 1,5
Hallar la ecuación de la hipérbola con c(4,3), semieje real 2, eje real paralelo a las absisas
Excentricidad e=1,5