Hipérbola y sus elementos
Comencemos recordando un poco acerca de la hipérbola. La hipérbola es el lugar geométrico de los puntos del plano cuya diferencia de distancias a los puntos fijos llamados focos es constante en valor absoluto.

En la gráfica anterior, significa que
para cualquier punto
de la hipérbola.
Elementos de la hipérbola
1Focos: son los puntos fijos
y
.
2Eje focal, principal o real: es la recta que pasa por los focos.
3Eje secundario o imaginario: es la mediatriz del segmento
.
4 Centro: es el punto de intersección de los ejes.
5 Vértices: los puntos
y
son los puntos de intersección de la hipérbola con el eje focal.
6Radios vectores: son los segmentos que van desde un punto de la hipérbola a los focos:
y
.
7Distancia focal: es el segmento
de longitud
.
8Eje mayor: es el segmento
de longitud
.
9Eje menor: es el segmento
de longitud
.Los puntos
y
se obtienen como intersección del eje imaginario con la circunferencia que tiene por centro uno de los vértices y de radio
.
10Ejes de simetría: son las rectas que contienen al eje real o al eje imaginario.
11Asintotas: son las rectas de ecuaciones: 
12Relación entre los semiejes: 
Excentricidad de la hipérbola
La excentricidad es un parámetro que indica la abertura de la hipérbola. Este número, en el caso de las hipérbolas, siempre es mayor que
.


Podemos encontrar más información de la excentricidad de una hipérbola aquí.
Hipérbola equilátera
Las hipérbolas en las que los semiejes son iguales se llaman equiláteras, y por tanto
.

En este caso la hipérbola (centrada en el origen) cuenta con los siguientes elementos.
- Tiene por ecuación:

- Sus asíntotas son:

por lo que las asíntotas son las bisectrices de los cuadrantes. - Su excentricidad viene dada por:

Ecuación de la hipérbola equilátera referida a sus asíntotas

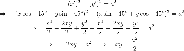
Ahora, si queremos pasar de los ejes
a los ejes determinados por las asíntotas de la hipérbola equilátera, entonces basta con efectuar un giro de
alrededor del origen de coordenadas.
Recordemos que las coordenadas de un punto
después de una rotación de un ángulo
estan dadas por
donde

De lo anterior, tendremos que la ecuación de la hipérbola equilátera después de un giro de
es

Es decir,
.

Si en lugar de un giro de
efectuamos un giro de
en los ejes, la hipérbola queda en el segundo y cuarto cuadrante y su ecuación será:


Ejercicio considerando una hipérbola equilátera
La ecuación
representa una hipérbola equilátera, calcular sus vértices y focos.
Notemos que se trata de una hipérbola como la que tenemos en
, entonces las coordenadas de los vértices
se encuentran en la bisectriz del primer y tercer cuadrante, esto nos dice que la primera y la segunda coordenada de los vértices serán iguales, es decir, en los vértices tendremos que
. Por otro lado, también se tiene que los vértices pertenecen a la curva por lo que se debe cumplir que
. Uniendo estas ultimas dos condiciones obtenemos que

y de aquí
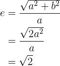
Para los focos, comenzaremos calculando
y
. Ya que
es la distancia del origen al vértice, utilizando la formula de distancia entre dos puntos tendremos que

al tratarse de una hipérbola equilátera

y utilizando la relación entre los semiejes
Ahora bien, los focos se encuentran a una distancia
del origen, por lo tanto si 

además, los focos también se encuentran en la bisectriz del primer y tercer cuadrante entonces en
y
tendremos que
. Considerando lo anterior

y de aquí


.
Resumir con IA:









Apuntes es una plataforma dirigida al estudio y la práctica de las matemáticas a través de la teoría y ejercicios interactivos que ponemos a vuestra disposición. Esta información está disponible para todo aquel/aquella que quiera profundizar en el aprendizaje de esta ciencia. Será un placer ayudaros en caso de que tengáis dudas frente algún problema, sin embargo, no realizamos un ejercicio que nos presentéis de 0 sin que hayáis si quiera intentado resolverlo. Ánimo, todo esfuerzo tiene su recompensa.
Hallar el vértice foco distancia focal la directriz la ecuación de la parábola y graficar V (-5,0) D>X=0
Calcula los elementos y las ecuaciones de la parábola como se hace eso
Hola se supone que para hacerlo te tienen que dar datos, por ejemplo si el vértice esta en el origen o no, si te dan la coordenada del foco o la ecuación directriz, si es parábola vertical u horizontal, según sea el caso, teniendo los datos necesarios solo tienes que sustituir en las fórmulas.
Por ejemplo encontrar la ecuación de la parábola con vértice en el origen y foco F(1,0):
La parábola es horizontal y tiene de parámetro p=1 y se sustituye en y^2=4px i x=-p quedando y^2=4(1)x y x=-1 o y^2=4x y x+1=0, ecuación de la parábola y directriz.
Una circunferencia tiene su centro en el eje X y pasa por los puntos (-1,5) y (2,3) determina su ecuación
Encuentra la ecuación de la elipse con eje horizontal, centro en (3,−2) semieje mayor de 5 unidades y semieje menor de 3 unidades
Calcula la distancia focal de la elipse cuyos ejes miden 10 y 6 unidades
¿Cómo crees que estas formas geométricas pueden influir en el diseño arquitectónico contemporáneo?
determinar la ecuacion dela hiperbola c(4,3) semieje real 2 eje real paralelo de las absisas exentricidad 1,5
Hallar la ecuación de la hipérbola con c(4,3), semieje real 2, eje real paralelo a las absisas
Excentricidad e=1,5