Calcula la posición relativa de la circunferencia
y la recta
.
Calcula la posición relativa de la circunferencia
y la recta
.
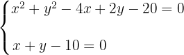
1 Planteamos un sistema de ecuaciones entre la ecuación de la circunferencia y la de la recta

2 Resolvemos el sistema de ecuaciones, para ello, lo más fácil es despejar la variable
de la segunda ecuación y sustituirlo en la primera
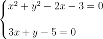
, lo sustituimos en la primer ecuación:




3 Sustituimos los valores de
en la ecuación de la recta para obtener las coordenadas de los puntos de intersección

Los puntos de intersección son
y 

Al haber 2 puntos de intersección, la recta es secante con la circunferencia
2 Estudiar la posición relativa de la circunferencia
con las rectas:
A 
B 
C 
Estudiar la posición relativa de la circunferencia
con las rectas:
A 
1 Planteamos un sistema de ecuaciones con la circunferencia y la recta

2 Para resolver el sistema, despejamos
de la ecuación de la recta y lo sustituimos en la ecuación de la circunferencia





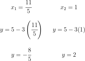
3 Sustituimos los valores obtenidos de
en el despeje de 

Los puntos de intersección son
y 

Al haber dos puntos de intersección, la recta es secante con la circunferencia
B 
1 Planteamos un sistema de ecuaciones con la circunferencia y la recta

2 Para resolver el sistema, despejamos
de la ecuación de la recta y lo sustituimos en la ecuación de la circunferencia







3 Sustituimos el valor obtenido de
para obtener las coordenadas del punto de intersección


El punto de intersección entre la circunferencia y la recta es 

Al haber sólo un punto de intersección, la recta es tangente a la circunferencia.
C 
1 Planteamos un sistema de ecuaciones con la circunferencia y la recta

2 Para resolver el sistema, despejamos
de la ecuación de la recta y lo sustituimos en la ecuación de la circunferencia






La ecuación cuadrática no tiene solución por lo que no hay intersección entre la circunferencia y la recta

Al no haber intersección, la recta es exterior a la circunferencia.
Determina la posición relativa de la recta
con la hipérbola 
[Determina la posición relativa de la recta
con la hipérbola 
1 Planteamos un sistema de ecuaciones con la hipérbola y la recta

2 Para resolver el sistema, despejamos
de la ecuación de la recta y lo sustituimos en la ecuación de la hipérbola





3 Sustituimos el valor obtenido de
para obtener las coordenadas de los puntos de intersección

Los puntos de intersección entre la hipérbola y la recta son 

Al haber 2 puntos de intersección, la recta y la hipérbola son secantes.
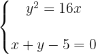
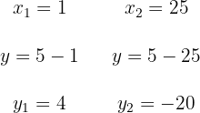
Calcular la posición relativa de la recta
respecto a la parábola 
respecto a la parábola
1 Planteamos un sistema de ecuaciones con la parábola y la recta

2 Para resolver el sistema, despejamos
de la ecuación de la recta y lo sustituimos en la ecuación de la parábola





3 Sustituimos el valor obtenido de
para obtener las coordenadas de los puntos de intersección

Los puntos de intersección son
y 

Al haber dos puntos de intersección, la recta y la parábola son secantes
¿Has leído nuestras páginas de explicaciones y sigues teniendo dificultad? Encuentra tu profesor de mates ideal en Superprof.
Resumir con IA:

Apuntes es una plataforma dirigida al estudio y la práctica de las matemáticas a través de la teoría y ejercicios interactivos que ponemos a vuestra disposición. Esta información está disponible para todo aquel/aquella que quiera profundizar en el aprendizaje de esta ciencia. Será un placer ayudaros en caso de que tengáis dudas frente algún problema, sin embargo, no realizamos un ejercicio que nos presentéis de 0 sin que hayáis si quiera intentado resolverlo. Ánimo, todo esfuerzo tiene su recompensa.
Hallar el vértice foco distancia focal la directriz la ecuación de la parábola y graficar V (-5,0) D>X=0
Calcula los elementos y las ecuaciones de la parábola como se hace eso
Hola se supone que para hacerlo te tienen que dar datos, por ejemplo si el vértice esta en el origen o no, si te dan la coordenada del foco o la ecuación directriz, si es parábola vertical u horizontal, según sea el caso, teniendo los datos necesarios solo tienes que sustituir en las fórmulas.
Por ejemplo encontrar la ecuación de la parábola con vértice en el origen y foco F(1,0):
La parábola es horizontal y tiene de parámetro p=1 y se sustituye en y^2=4px i x=-p quedando y^2=4(1)x y x=-1 o y^2=4x y x+1=0, ecuación de la parábola y directriz.
Una circunferencia tiene su centro en el eje X y pasa por los puntos (-1,5) y (2,3) determina su ecuación
Encuentra la ecuación de la elipse con eje horizontal, centro en (3,−2) semieje mayor de 5 unidades y semieje menor de 3 unidades
Calcula la distancia focal de la elipse cuyos ejes miden 10 y 6 unidades
¿Cómo crees que estas formas geométricas pueden influir en el diseño arquitectónico contemporáneo?
determinar la ecuacion dela hiperbola c(4,3) semieje real 2 eje real paralelo de las absisas exentricidad 1,5
Hallar la ecuación de la hipérbola con c(4,3), semieje real 2, eje real paralelo a las absisas
Excentricidad e=1,5