Capítulos
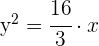
Ecuación de la parábola con vértice en el origen
, siendo su eje
.1 Como la parábola tiene vértice en el origen y eje
, su ecuación es de la forma

2 Necesitamos conocer el valor de
, como la parábola pasa por
satisface la ecuación de la parábola

3 Despejando
obtenemos 
4 Sustituyendo en la ecuación de la parábola obtenemos

, siendo su eje
.1 Como la parábola tiene vértice en el origen y eje
, su ecuación es de la forma

2 Necesitamos conocer el valor de
, como la parábola pasa por
satisface la ecuación de la parábola

3 Despejando
obtenemos 
4 Sustituyendo en la ecuación de la parábola obtenemos

Ecuación de la parábola con vértice sobre los ejes coordenados
Escribe la ecuación de la parábola de eje paralelo a
, vértice en
y que pasa por los puntos
y
.
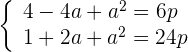
1 Como la parábola tiene vértice en el eje
, este es de la forma
. También sabemos que su eje es paralelo a
, por lo que su ecuación es de la forma

2 Necesitamos conocer el valor de
y
, como la parábola pasa por
y
satisface la ecuación de la parábola


y obtenemos el sistema

3 Resolviendo el sistema obtenemos dos valores
y 
4 Sustituyendo en la ecuación de la parábola obtenemos dos ecuaciones


y por vértice el punto
.1 Como la directriz es paralela al eje
y el vértice es
, la ecuación de la parábola es de la forma

2 La distancia del vértice a la directriz es igual a la mitad de 

3 La ecuación de la parábola es

, vértice en
y que pasa por los puntos
y
.1 Como la parábola tiene vértice en el eje
, este es de la forma
. También sabemos que su eje es paralelo a
, por lo que su ecuación es de la forma

2 Necesitamos conocer el valor de
y
, como la parábola pasa por
y
satisface la ecuación de la parábola


y obtenemos el sistema

3 Resolvemos el sistema y obtenemos que
y 
4 Sustituyendo en la ecuación de la parábola obtenemos

, vértice en
y que pasa por los puntos
y
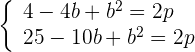
.1 Como la parábola tiene vértice en el eje
, este es de la forma
. También sabemos que su eje es paralelo a
, por lo que su ecuación es de la forma

2 Necesitamos conocer el valor de
y
, como la parábola pasa por
y
satisface la ecuación de la parábola


3 y obtenemos el sistema

3 Resolvemos el sistema

Pero la última ecuación no tiene raíces reales, ya que su discriminante es negativo
4 Así decimos que no existe una parábola que cumpla con las condiciones dadas
Ecuación de la parábola con vértice fuera de los ejes coordenados
y foco
.1 Como las segundas coordenadas del vértice y del foco son iguales, entonces el eje de la parábola es paralelo al eje
.
2 Como la parábola tiene vértice
y sabemos que su eje es paralelo a
, su ecuación es de la forma

3 Necesitamos conocer el valor de
y
, como la distancia del vértice al foco es la mitad de
, obtenemos

4 Sustituyendo en la ecuación de la parábola obtenemos

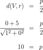
y por foco el origen de coordenadas.1 Sabemos que para cualquier punto
de la parábola, la distancia del punto al foco
es igual a la distancia del punto a la directriz 

2 Calculamos las distancias y obtenemos


3 Igualamos ambas distancias, elevamos ambos lados al cuadrado y obtenemos

4 La ecuación de la parábola es

Resumir con IA:









Apuntes es una plataforma dirigida al estudio y la práctica de las matemáticas a través de la teoría y ejercicios interactivos que ponemos a vuestra disposición. Esta información está disponible para todo aquel/aquella que quiera profundizar en el aprendizaje de esta ciencia. Será un placer ayudaros en caso de que tengáis dudas frente algún problema, sin embargo, no realizamos un ejercicio que nos presentéis de 0 sin que hayáis si quiera intentado resolverlo. Ánimo, todo esfuerzo tiene su recompensa.
Hallar el vértice foco distancia focal la directriz la ecuación de la parábola y graficar V (-5,0) D>X=0
Calcula los elementos y las ecuaciones de la parábola como se hace eso
Hola se supone que para hacerlo te tienen que dar datos, por ejemplo si el vértice esta en el origen o no, si te dan la coordenada del foco o la ecuación directriz, si es parábola vertical u horizontal, según sea el caso, teniendo los datos necesarios solo tienes que sustituir en las fórmulas.
Por ejemplo encontrar la ecuación de la parábola con vértice en el origen y foco F(1,0):
La parábola es horizontal y tiene de parámetro p=1 y se sustituye en y^2=4px i x=-p quedando y^2=4(1)x y x=-1 o y^2=4x y x+1=0, ecuación de la parábola y directriz.
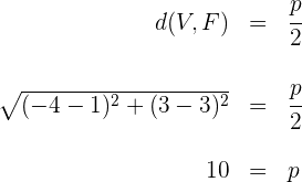
Una circunferencia tiene su centro en el eje X y pasa por los puntos (-1,5) y (2,3) determina su ecuación
Encuentra la ecuación de la elipse con eje horizontal, centro en (3,−2) semieje mayor de 5 unidades y semieje menor de 3 unidades
Calcula la distancia focal de la elipse cuyos ejes miden 10 y 6 unidades
¿Cómo crees que estas formas geométricas pueden influir en el diseño arquitectónico contemporáneo?
determinar la ecuacion dela hiperbola c(4,3) semieje real 2 eje real paralelo de las absisas exentricidad 1,5
Hallar la ecuación de la hipérbola con c(4,3), semieje real 2, eje real paralelo a las absisas
Excentricidad e=1,5