La hipérbola es el lugar geométrico de los puntos del plano cuya diferencia de distancias a los puntos fijos llamados focos es constante en valor absoluto.

En la gráfica anterior, esto significa que
para cualquier punto
de la hipérbola.
Elementos de la hipérbola
1 Focos: Son los puntos fijos
y
.
2 Eje focal, principal o real: Es la recta que pasa por los focos.
3 Eje secundario o imaginario: Es la mediatriz del segmento
.
4 Centro: Es el punto de intersección de los ejes.
5 Vértices: Los puntos
y
son los puntos de intersección de la hipérbola con el eje focal.
6 Radios vectores: Son los segmentos que van desde un punto de la hipérbola a los focos:
y
.
7 Distancia focal: Es el segmento
de longitud
.
8 Eje mayor: Es el segmento
de longitud
.
9 Eje menor: Es el segmento
de longitud
.
Los puntos
y
se obtienen como intersección del eje imaginario con la circunferencia que tiene por centro uno de los vértices y de radio
.
10 Ejes de simetría: Son las rectas que contienen al eje real o al eje imaginario.
11 Asíntotas: Son las rectas de ecuaciones: 
12 Relación entre los semiejes: 
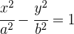
Ecuación reducida de la hipérbola
Se llama ecuación reducida a la ecuación de la hipérbola cuyos ejes coinciden con los ejes coordenadas, y, por tanto, el centro de hipérbola con el origen de coordenadas. Si el eje real está en el eje de abscisas las coordenadas de los focos son:
y la ecuación de la hipérbola reducida es
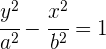
Ecuación de la hipérbola con los focos en el eje OY
Si el eje real está en el eje de abscisas las coordenadas de los focos son:
y la ecuación de la hipérbola en este caso es
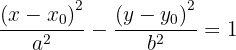
Ecuación de la hipérbola con eje paralelo a OX, y centro distinto al origen
Si el centro de la hipérbola es
y el eje principal es paralelo a OX, los focos tienen de coordenadas
Y la ecuación de la hipérbola será:
Al quitar denominadores y desarrollar las ecuaciones se obtiene, en general, una ecuación de la forma:
Donde
y
tienen signos opuestos.
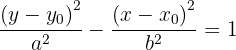
Ecuación de la hipérbola con eje paralelo a OY, y centro distinto al origen
Si el centro de la hipérbola
y el eje principal es paralelo a OY, los focos tienen de coordenadas
Y la ecuación de la hipérbola será:
Al quitar denominadores y desarrollar las ecuaciones se obtiene, en general, una ecuación de la forma:
Donde
y
tienen signos opuestos.
Ecuación de la hipérbola equilátera
Las hipérbolas en las que los semiejes son iguales se llaman equiláteras, por tanto
. Y su ecuación es:
Las asíntotas tienen por ecuación:
Es decir, son las bisectrices de los cuadrantes. Además, la excentricidad es
Ecuación de la hipérbola equilátera referida a sus asíntotas
Para pasar de los ejes OX, OY a los determinados por las asíntotas, bastará dar un giro de −45° alrededor del origen de coordenadas. Quedando la ecuación como:
Si efectuamos un giro de 45° en los ejes, la hipérbola que queda en el segundo y cuarto cuadrante y su ecuación será:

Resumir con IA:









Apuntes es una plataforma dirigida al estudio y la práctica de las matemáticas a través de la teoría y ejercicios interactivos que ponemos a vuestra disposición. Esta información está disponible para todo aquel/aquella que quiera profundizar en el aprendizaje de esta ciencia. Será un placer ayudaros en caso de que tengáis dudas frente algún problema, sin embargo, no realizamos un ejercicio que nos presentéis de 0 sin que hayáis si quiera intentado resolverlo. Ánimo, todo esfuerzo tiene su recompensa.
Hallar el vértice foco distancia focal la directriz la ecuación de la parábola y graficar V (-5,0) D>X=0
Calcula los elementos y las ecuaciones de la parábola como se hace eso
Hola se supone que para hacerlo te tienen que dar datos, por ejemplo si el vértice esta en el origen o no, si te dan la coordenada del foco o la ecuación directriz, si es parábola vertical u horizontal, según sea el caso, teniendo los datos necesarios solo tienes que sustituir en las fórmulas.
Por ejemplo encontrar la ecuación de la parábola con vértice en el origen y foco F(1,0):
La parábola es horizontal y tiene de parámetro p=1 y se sustituye en y^2=4px i x=-p quedando y^2=4(1)x y x=-1 o y^2=4x y x+1=0, ecuación de la parábola y directriz.
Una circunferencia tiene su centro en el eje X y pasa por los puntos (-1,5) y (2,3) determina su ecuación
Encuentra la ecuación de la elipse con eje horizontal, centro en (3,−2) semieje mayor de 5 unidades y semieje menor de 3 unidades
Calcula la distancia focal de la elipse cuyos ejes miden 10 y 6 unidades
¿Cómo crees que estas formas geométricas pueden influir en el diseño arquitectónico contemporáneo?
determinar la ecuacion dela hiperbola c(4,3) semieje real 2 eje real paralelo de las absisas exentricidad 1,5
Hallar la ecuación de la hipérbola con c(4,3), semieje real 2, eje real paralelo a las absisas
Excentricidad e=1,5