En este artículo se construye, analiza y presenta la ecuación reducida de la elipse. Para lo anterior, primero consideremos una elipse con centro en el origen de coordenadas del plano cartesiano y los ejes de la elipse como ejes de coordenadas, de tal manera que tenemos una construcción como la siguiente:





De tal manera que utilizando la fórmula de distancia para dos puntos en el plano cartesiano tenemos lo siguiente:

Sustituimos utilizando las coordenadas de los focos:


Después, reacomodando y desarrollando la ecuación anterior obtenemos lo siguiente:

Elevando al cuadrado ambos lados de la igualdad:


Desarrollando:

Cancelando y agrupando términos, tenemos:


Elevando al cuadrado ambos lados y desarrollando tenemos:

Simplificando:
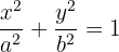
.
Utilizando que podemos reescribir la relación de la siguiente manera:
.
Dividimos, ambos lados de la igualdad por y obtenemos la ecuación reducida de la elipse:

Ejercicio
Calcular los elementos característicos y la ecuación reducida de la elipse que tiene como focos las coordenadas: y
, y su eje mayor mide
.

1 Semieje mayor:
Para calcularlo, utilicemos que el eje mayor mide unidades, como el eje mayor es
veces el semieje mayor tenemos la siguiente relación:
.
2 Semidistancia focal:
Para calcular la semidistancia focal, notemos que la distancia del centro a es
y la distancia del centro a
también, de tal manera que tenemos la siguiente relación:
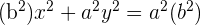
3 Semieje menor:
Para calcular el semieje menor, utilicemos la relación , donde
representa la longitud del semieje menor:

4 Ecuación reducida:
Sustituyendo en la expresión de la ecuación reducida de la elipse:
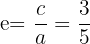
5 Excentricidad:
Para calcular la excentricidad recordemos que esta se obtiene del cociente de la distancia del semieje focal y la longitud del semieje mayor, de tal manera que tenemos la siguiente relación:

Apuntes es una plataforma dirigida al estudio y la práctica de las matemáticas a través de la teoría y ejercicios interactivos que ponemos a vuestra disposición. Esta información está disponible para todo aquel/aquella que quiera profundizar en el aprendizaje de esta ciencia. Será un placer ayudaros en caso de que tengáis dudas frente algún problema, sin embargo, no realizamos un ejercicio que nos presentéis de 0 sin que hayáis si quiera intentado resolverlo. Ánimo, todo esfuerzo tiene su recompensa.
Calcula los elementos y las ecuaciones de la parábola como se hace eso
Hola se supone que para hacerlo te tienen que dar datos, por ejemplo si el vértice esta en el origen o no, si te dan la coordenada del foco o la ecuación directriz, si es parábola vertical u horizontal, según sea el caso, teniendo los datos necesarios solo tienes que sustituir en las fórmulas.
Por ejemplo encontrar la ecuación de la parábola con vértice en el origen y foco F(1,0):
La parábola es horizontal y tiene de parámetro p=1 y se sustituye en y^2=4px i x=-p quedando y^2=4(1)x y x=-1 o y^2=4x y x+1=0, ecuación de la parábola y directriz.
Una circunferencia tiene su centro en el eje X y pasa por los puntos (-1,5) y (2,3) determina su ecuación
Encuentra la ecuación de la elipse con eje horizontal, centro en (3,−2) semieje mayor de 5 unidades y semieje menor de 3 unidades
Calcula la distancia focal de la elipse cuyos ejes miden 10 y 6 unidades
¿Cómo crees que estas formas geométricas pueden influir en el diseño arquitectónico contemporáneo?
determinar la ecuacion dela hiperbola c(4,3) semieje real 2 eje real paralelo de las absisas exentricidad 1,5
Hallar la ecuación de la hipérbola con c(4,3), semieje real 2, eje real paralelo a las absisas
Excentricidad e=1,5