Capítulos
Definición de la parábola
La parábola es el lugar geométrico de los puntos del plano que equidistan de un punto fijo llamado foco y de una recta fija llamada directriz.
Elementos de la parábola
1 Foco: Es el punto fijo F.
2 Directriz: Es la recta fija d.
3 Parámetro: Es la distancia del foco a la directriz, se designa por la letra p.
4 Eje: Es la recta perpendicular a la directriz que pasa por el foco.
5 Vértice: Es el punto de intersección de la parábola con su eje.
6 Radio vector: Es un segmento que une un punto cualquiera de la parábola con el foco.
Ecuación reducida de la parábola
1 El eje de la parábola coincide con el de abscisas y el vértice con el origen de coordenadas
Si:
, entonces la ecuación de la parábola es: 
Si:
, entonces la ecuación de la parábola es: 
2 El eje de la parábola coincide con el de ordenadas y el vértice con el origen de coordenadas
Si:
, entonces la ecuación de la parábola es: 
Si:
, entonces la ecuación de la parábola es: 
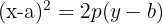
Parábola con eje paralelo a OX y vértice distinto al origen
La ecuación de la parábola con vértice fuera del origen, es decir
, es:
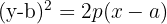
Parábola con eje paralelo a OY, y vértice distinto al origen
La ecuación de la parábola con vértice fuera del origen, es decir
, es:

Resumir con IA:









Apuntes es una plataforma dirigida al estudio y la práctica de las matemáticas a través de la teoría y ejercicios interactivos que ponemos a vuestra disposición. Esta información está disponible para todo aquel/aquella que quiera profundizar en el aprendizaje de esta ciencia. Será un placer ayudaros en caso de que tengáis dudas frente algún problema, sin embargo, no realizamos un ejercicio que nos presentéis de 0 sin que hayáis si quiera intentado resolverlo. Ánimo, todo esfuerzo tiene su recompensa.
Hallar el vértice foco distancia focal la directriz la ecuación de la parábola y graficar V (-5,0) D>X=0
Calcula los elementos y las ecuaciones de la parábola como se hace eso
Hola se supone que para hacerlo te tienen que dar datos, por ejemplo si el vértice esta en el origen o no, si te dan la coordenada del foco o la ecuación directriz, si es parábola vertical u horizontal, según sea el caso, teniendo los datos necesarios solo tienes que sustituir en las fórmulas.
Por ejemplo encontrar la ecuación de la parábola con vértice en el origen y foco F(1,0):
La parábola es horizontal y tiene de parámetro p=1 y se sustituye en y^2=4px i x=-p quedando y^2=4(1)x y x=-1 o y^2=4x y x+1=0, ecuación de la parábola y directriz.
Una circunferencia tiene su centro en el eje X y pasa por los puntos (-1,5) y (2,3) determina su ecuación
Encuentra la ecuación de la elipse con eje horizontal, centro en (3,−2) semieje mayor de 5 unidades y semieje menor de 3 unidades
Calcula la distancia focal de la elipse cuyos ejes miden 10 y 6 unidades
¿Cómo crees que estas formas geométricas pueden influir en el diseño arquitectónico contemporáneo?
determinar la ecuacion dela hiperbola c(4,3) semieje real 2 eje real paralelo de las absisas exentricidad 1,5
Hallar la ecuación de la hipérbola con c(4,3), semieje real 2, eje real paralelo a las absisas
Excentricidad e=1,5