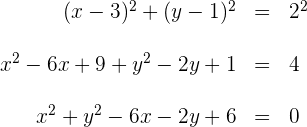
Hallar la ecuación de la circunferencia que tiene el centro en el punto
y es tangente a la recta:
.
1Representamos gráficamente

2El radio siempre es perpendicular a cualquier tangente de la circunferencia, por lo que al calcular la distancia del centro a la recta tangente, estaremos encontrando el radio

3Escribimos la ecuación ordinaria de la circunferencia con centro
y radio 

4Desarrollamos los términos cuadráticos y escribimos la ecuación general de la circunferencia

5Así, la ecuación buscada es

Hallar la ecuación de la circunferencia que pasa por los puntos
y
y tiene su centro sobre la recta:
.
1Representamos gráficamente

2Representamos el centro con coordenadas
, luego la ecuación ordinaria de la circunferencia es

3Los puntos
y
están en la circunferencia, por lo que satisfacen la ecuación


4Igualamos ambas ecuaciones y simplificamos

5Como el centro está sobre la recta
, entonces satisface

6Se obtiene el sistema de ecuaciones

7Sumando ambas ecuaciones se obtiene

8Sustituyendo en la primera ecuación del sistema se obtiene

9Sustituimos los valores obtenidos en
y obtenemos

10Sustituyendo los valoresdel centro y radio en la ecuación ordinaria de la circunferencia y desarrollando se obtiene

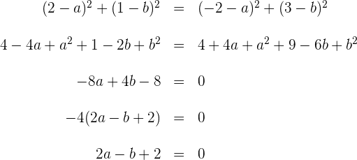
Calcula la ecuación de la circunferencia que pasa por el punto
, cuyo radio es
y cuyo centro se halla en la bisectriz del primer y tercer cuadrantes.
1Representamos gráficamente

2El centro se encuentra en la recta
por lo que el centro se representa por
. La ecuación ordinaria de la circunferencia es

3El punto
está en la circunferencia, por lo que satisface la ecuación

Luego
y 
4La ecuación de la circunferencia, para
es

5La ecuación de la circunferencia, para
es

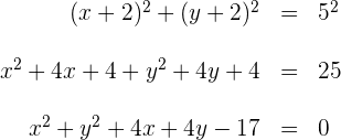
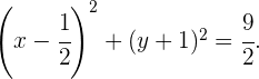
Calcula la ecuación de la circunferencia que pasa por el punto
, cuyo radio es
y cuyo centro se halla en la recta
.
1El centro se encuentra en la recta
por lo que el centro se representa por
. La ecuación ordinaria de la circunferencia es

2El punto
está en la circunferencia, por lo que debe satisfacer la ecuación

3Por lo tanto concluimos que
. Así, la ecuación de la circunferencia, para
es

Si la ecuación de la circunferencia es
, entonces su radio mide:
1Tenemos la formula general de la circunferencia,

De esta ecuación podemos obtener todos los datos necesarios de nuestra circunferencia.
2De la ecuación anterior sabemos que su radio esta determinado por la ecuación

3 En nuestro caso particular sabemos que
,
y
, reemplazando obtenemos el resultado que buscamos

Calcular la ecuación de la circunferencia, donde uno de sus diametros tiene como extremos a
,
.
1Si el segmento
es un diametro de la circunferencia entonces el punto media de este segmento sera el radio de la circunferencia

Concluimos que el centro de la circunferencia es
.
2Para calcular el radio, debemos calcular la longitud del segmento
, la cual es

3 Finalmente concluimos que la ecuación de la circunferencia es

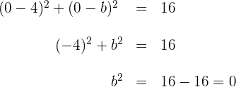
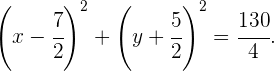
Hallar la ecuación de la circunferencia que su centro en
y es tangente a la recta que pasa por los puntos
y
.
1Primero calculamos la ecuación de la recta. Dado que esta pasa por
y
, tiene como pendiente a

Luego la ecuación de la recta es

2 Ahora consideramos la distancia del centro a la recta tangente, es decir, el radio es

3Finalmente nuestra ecuación es

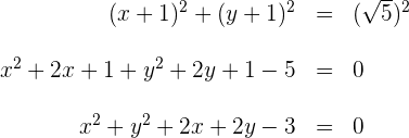
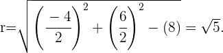
Hallar la ecuación de una circunferencia que pasa por los puntos
y
y cuyo centro esta situado en la recta 
1 Sabemos que la ecuación tiene la forma

Dado que la circunferencia para por los puntos
y
, entonces tenemos la ecuación

2 Como el centro
esta sobre la recta de ecuación
entonces tenemos la ecuación

3Resolviendo las ecuaciones anteriores para
tenemos que


De esta ecuación y la ecuación en 2 se sigue que

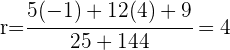
4 Reemplazando estos valores en la ecuación de la circunferencia junto con uno de los valores por los cuales pasa la circunferencia podemos obtener el radio

5 Finalmente, nuestra ecuación esta dada por

Resumir con IA:

Apuntes es una plataforma dirigida al estudio y la práctica de las matemáticas a través de la teoría y ejercicios interactivos que ponemos a vuestra disposición. Esta información está disponible para todo aquel/aquella que quiera profundizar en el aprendizaje de esta ciencia. Será un placer ayudaros en caso de que tengáis dudas frente algún problema, sin embargo, no realizamos un ejercicio que nos presentéis de 0 sin que hayáis si quiera intentado resolverlo. Ánimo, todo esfuerzo tiene su recompensa.
Hallar el vértice foco distancia focal la directriz la ecuación de la parábola y graficar V (-5,0) D>X=0
Calcula los elementos y las ecuaciones de la parábola como se hace eso
Hola se supone que para hacerlo te tienen que dar datos, por ejemplo si el vértice esta en el origen o no, si te dan la coordenada del foco o la ecuación directriz, si es parábola vertical u horizontal, según sea el caso, teniendo los datos necesarios solo tienes que sustituir en las fórmulas.
Por ejemplo encontrar la ecuación de la parábola con vértice en el origen y foco F(1,0):
La parábola es horizontal y tiene de parámetro p=1 y se sustituye en y^2=4px i x=-p quedando y^2=4(1)x y x=-1 o y^2=4x y x+1=0, ecuación de la parábola y directriz.
Una circunferencia tiene su centro en el eje X y pasa por los puntos (-1,5) y (2,3) determina su ecuación
Encuentra la ecuación de la elipse con eje horizontal, centro en (3,−2) semieje mayor de 5 unidades y semieje menor de 3 unidades
Calcula la distancia focal de la elipse cuyos ejes miden 10 y 6 unidades
¿Cómo crees que estas formas geométricas pueden influir en el diseño arquitectónico contemporáneo?
determinar la ecuacion dela hiperbola c(4,3) semieje real 2 eje real paralelo de las absisas exentricidad 1,5
Hallar la ecuación de la hipérbola con c(4,3), semieje real 2, eje real paralelo a las absisas
Excentricidad e=1,5