
Este campo es obligatorio.
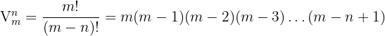
Primero, recordemos que las variaciones de
elementos tomados de
en
están dadas por la fórmula
entonces


Este campo es obligatorio.
De igual manera que el ejercicio anterior, tenemos


Este campo es obligatorio.
Recordemos que las variaciones con repetición de
elementos tomando
están dadas por
en donde
.
Entonces


Este campo es obligatorio.
Similar al ejercicio anterior, utilizando la fórmula para las variaciones con repetición obtenemos que


Este campo es obligatorio.
Recordemos que la fórmula de las permutaciones es

entonces


Este campo es obligatorio.
En este caso tenemos una permutación circular, recordemos que su fórmula es

entonces


Este campo es obligatorio.
En este caso tenemos permutación con repetición, en las permutaciones con repetición de
elementos donde el primer elemento se repite
veces , el segundo
veces , el tercero
veces,... la fórmula viene dada de la siguiente manera
entonces


Este campo es obligatorio.
De nuevo tenemos permutación con repetición, entonces


Este campo es obligatorio.
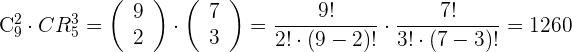
Nuevamente recordemos que la fórmula para las combinaciones viene dada de la siguiente manera
o tambien podemos calcular las combinaciones mediante factoriales:
entonces


Este campo es obligatorio.
Utilizando la fórmula de combinaciones


Este campo es obligatorio.
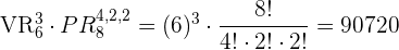
Para las combinaciones con repetición de
elementos se tiene

por tanto


Este campo es obligatorio.
Nuevamente utilizamos la fórmula de combinación con repetición, entonces


Este campo es obligatorio.
En este caso tenemos la multiplicación entre una variación ordinaria y una permutación circular, utilizamos las correspondientes formulas y multiplicamos, obteniendo


Este campo es obligatorio.
Tenemos la multiplicación de una combinación y una combinación con repetición, utilizamos la correspondiente fórmula en cada caso y multiplicamos


Este campo es obligatorio.


Este campo es obligatorio.
Finalmente nos encontramos con la multiplicación entre una permutación y una variación, utilizamos la correspondiente fórmula y multiplicamos

Resumir con IA:

Apuntes es una plataforma dirigida al estudio y la práctica de las matemáticas a través de la teoría y ejercicios interactivos que ponemos a vuestra disposición. Esta información está disponible para todo aquel/aquella que quiera profundizar en el aprendizaje de esta ciencia. Será un placer ayudaros en caso de que tengáis dudas frente algún problema, sin embargo, no realizamos un ejercicio que nos presentéis de 0 sin que hayáis si quiera intentado resolverlo. Ánimo, todo esfuerzo tiene su recompensa.
El ejercicio 7 está mal ya que el 5% de la población enferma no le corresponde una probabilidad del 0,005 sino del 0,05
Hola tienes razón, 5% es 0,05 pero no encontré el ejercicio que mencionas, podrías dar mas detalles por favor.
Hay un error en el problema 18 en la solución a, ya que al tener 20 hombres solteros, la probabilidad deria de 20/120 y no de 25/120 como se afirma
Hola revise los artículos y no encontré el problema, podrías hacerme el favor de darme el nombre del artículo, nos seria de mucha ayuda.
Hola! Este ejercicio creo que está mal…
Un hombre es conocido por decir la verdad 2 de 3 veces. El tira una moneda y dice que ha caído cara. Encuentra la probabilidad de que en realidad la moneda haya caído cara.
No se está considerando que, cuando dice la verdad, las chances son del 100% de que sea cara. No hay posibilidad de que sea ceca porque sino estaría mintiendo.
Hola agradecemos tus comentarios, podrías mencionar que número de ejercicio es pues hice una revisión y no encontré el ejercicio, seria de mucha ayuda por favor.
Quiero aprender más sobre matemáticas 💯 y como puedo hacer un ejemplo sobre la clase de permutaciones…y que fórmulas debo usar
Hola estas en el lugar indicado para aprender matematicas, en cuanto al tema que mencionas tenemos varios artículos que te pueden ayudar por ejemplo «https://www.superprof.es/apuntes/escolar/matematicas/probabilidades/combinatoria/variaciones-permutaciones-y-combinaciones.html» con este puedes comenzar.
En el ejercicio «Una mesa presidencial está formada por ocho personas. ¿De cuántas formas distintas se pueden sentar, si el presidente y el secretario siempre van juntos?» hay un error en la solución. A mí me sale 10080 = 2×7!
Agradecemos que nos compartieras tu observación. En efecto la solución anterior era para una mesa redonda, ya realizamos la corrección. Un saludo.