Describe el espacio muestral que se obtiene al lanzar dos monedas al aire
Al lanzar una moneda al aire puede salir cara
o cruz
. Para el caso en que se lanzan dos monedas, el espacio muestral que se puede obtener es

Describe el espacio muestral que se obtiene al lanzar dos dados al aire
Al lanzar un dado al aire puede salir los valores
. Para el caso en que se lanzan dos dados, el espacio muestral que se puede obtener es

Se sacan dos bolas de una urna que se compone de una bola blanca, otra roja, otra verde y otra negra. Describe el espacio muestral cuando:
1 La primera bola se devuelve a la urna antes de sacar la segunda.
2 La primera bola no se devuelve.
1 La primera bola se devuelve a la urna antes de sacar la segunda.

2 La primera bola no se devuelve.

Sean
y
dos sucesos aleatorios con

Hallar:
1 
2 
3 
4 
5 
6 
7 
1 
Los sucesos son compatibles porque la intersección es distinta del vacío,
, dado que su probabilidad no es nula. Por lo tanto

2 
Las probabilidad de
es igual a
(probabilidad total) menos la probabilidad del suceso 

3 
La probabilidad de
es igual a
(probabilidad total) menos la probabilidad del suceso 

4 
Aplicando las leyes de Morgan obtenemos

Además, la probabilidad de
es igual a
(probabilidad total) menos la probabilidad del suceso
, por lo tanto

5 
Notemos que
. Aplicando la probabilidad de la diferencia de sucesos tenemos

6 
Aplicando las leyes de Morgan obtenemos

Además, la probabilidad de
es igual a
(probabilidad total) menos la probabilidad del suceso
, por lo tanto

7 
Notemos que
. Aplicando la probabilidad de la diferencia de sucesos tenemos

Dados los siguientes sucesos y sus probabilidades.

Encontrar:
1 
2 
3 
4 
1 
La probabilidad de
es igual a
(probabilidad total) menos la probabilidad del suceso 

2 
Recordemos que
, por lo tanto, si despejamos
obtenemos

3 
Notemos que
. Aplicando la probabilidad de la diferencia de sucesos tenemos

4 
Notemos que
. Aplicando la probabilidad de la diferencia de sucesos tenemos

Una urna tiene ocho bolas rojas, cinco amarilla y siete verdes. Si se extrae una bola al azar calcular la probabilidad de que:
1 Sea roja.
2 Sea verde.
3 Sea amarilla.
4 No sea roja.
5 No sea amarilla.
1 Sea roja.
-
- Casos favorables:
.
- Casos favorables:
-
- Casos posibles:
.
- Casos posibles:
Por lo tanto, la probabilidad es

2 Sea verde.
-
- Casos favorables:
.
- Casos favorables:
-
- Casos posibles:
.
- Casos posibles:
Por lo tanto, la probabilidad es

3 Sea amarilla.
-
-
-
- Casos favorables:
.
- Casos favorables:
-
-
-
- Casos posibles:
.
- Casos posibles:
Por lo tanto, la probabilidad es

4 No sea roja.
-
- Casos favorables:
.
- Casos favorables:
-
- Casos posibles:
.
- Casos posibles:
Por lo tanto, la probabilidad es

5 No sea amarilla.
-
- Casos favorables:
.
- Casos favorables:
-
- Casos posibles:
.
- Casos posibles:
Por lo tanto, la probabilidad es

Una urna contiene tres bolas rojas y siete blancas. Se extraen dos bolas al azar. Escribir el espacio muestral y hallar la probabilidad de los sucesos:
1 Con reemplazamiento (sacar la primera bola y volver a meterla antes de sacar la segunda).
2 Sin reemplazamiento (sacar la primera bola y no regresarla, sacar la segunda de las restantes).
1 Con reemplazamiento (sacar la primera bola y volver a meterla antes de sacar la segunda).
El espacio muestral está dado por

La extracción de dos bolas con reemplazamiento son sucesos independientes, puesto que la extracción de la primera bola no tiene ningún efecto sobre la segunda, por lo tanto

2 Sin reemplazamiento (sacar la primera bola y no regresarla, sacar la segunda de las restantes).
El espacio muestral está dado por

La extracción de dos bolas con reemplazamiento son sucesos dependientes, la extracción de la primera bola afecta la extracción de la segunda, por lo tanto

Se extrae una bola de una urna que contiene cuatro bolas rojas, cinco blancas y seis negras.
1 ¿Cuál es la probabilidad de que la bola sea roja o blanca?
2 ¿Cuál es la probabilidad de que no sea blanca?
1 ¿Cuál es la probabilidad de que la bola sea roja o blanca?
La extracción de dos bolas de distinto color son suceso incompatibles, es decir, que su intersección es el conjunto vacío. Por lo tanto

2 ¿Cuál es la probabilidad de que no sea blanca?
Recordemos que la probabilidad del suceso
es igual a
menos la probabilidad del suceso
, así

En una clase asisten
alumnos en donde hay
alumnas rubias,
morenas,
alumnos rubios y
morenos. Encontrar la probabilidad de que un alumno:
1 Sea hombre.
2 Sea mujer morena.
3 Sea hombre o mujer.
1 Sea hombre.
-
-
- Casos favorables:
.
- Casos favorables:
-
-
- Casos posibles:
.
- Casos posibles:

2 Sea mujer morena.
-
- Casos favorables:
.
- Casos favorables:
-
- Casos posibles:
.
- Casos posibles:

3 Sea hombre o mujer.
-
-
- Casos favorables:
.
- Casos favorables:
-
-
- Casos posibles:
.
- Casos posibles:

Un dado está trucado, de forma que las probabilidades de obtener las distintas caras son proporcionales a los números de estas. Hallar:
1 La probabilidad de obtener el 6 en un lanzamiento.
2 La probabilidad de conseguir un número impar en un lanzamiento.
1 La probabilidad de obtener el 6 en un lanzamiento.
Llamemos
a la probabilidad, dado que es proporcional a los números de los dados tendremos:
. Además, su suma cumple que

Despejando
obtenemos

Por lo tanto,
es

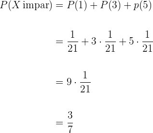
2 La probabilidad de conseguir un número impar en un lanzamiento.
Los números impares serían,
y
, por lo tanto la probabilidad está dada por

Se lanzan dos dados al aire y se anota la suma de los puntos obtenidos. Se pide:
1 La probabilidad de que salga el
.
2 La probabilidad de que el número obtenido sea par.
3 La probabilidad de que el número obtenido sea múltiplo de tres.
1 La probabilidad de que salga el
.
-
-
-
- Casos favorables: Los casos favorables son los
siguientes

- Casos favorables: Los casos favorables son los
-
-
-
- Casos posibles: Para encontrar los casos posibles debemos calcular las variaciones con repetición de
elementos tomados de
en
,
.
- Casos posibles: Para encontrar los casos posibles debemos calcular las variaciones con repetición de
Así, nuestra probabilidad de que los dados sumen
es
.
2 La probabilidad de que el número obtenido sea par.
-
- Casos posibles: Por el inciso anterior sabemos que los casos posibles son
.
- Casos posibles: Por el inciso anterior sabemos que los casos posibles son
-
- Casos favorables: La cantidad de casos favorables, en los cuales la suma es par, es la mitad es la mitad de los casos posibles, esto dado que la suma de dos números pares es par y la suma de dos números impares es par, por lo tanto los casos favorables son
.
- Casos favorables: La cantidad de casos favorables, en los cuales la suma es par, es la mitad es la mitad de los casos posibles, esto dado que la suma de dos números pares es par y la suma de dos números impares es par, por lo tanto los casos favorables son
Dado lo anterior, la probabilidad de que la suma sea par es
.
3 La probabilidad de que el número obtenido sea múltiplo de tres.
-
- Casos favorables: Los casos favorables son los
siguientes


-
- Casos posibles: De los incisos anteriores sabemos que los casos posibles son
.
- Casos posibles: De los incisos anteriores sabemos que los casos posibles son
Así, nuestra probabilidad de que los dados sumen un múltiplo de
es
. -
- Casos favorables: Los casos favorables son los
Se lanzan tres dados. Encontrar la probabilidad de que:
1 Salga
en todos.
2 Los puntos obtenidos sumen
.
1 Salga
en todos.
-
- Casos favorables: Solamente tenemos un caso favorable.
-
- Casos posibles: Para encontrar los casos posibles debemos calcular las variaciones con repetición de
elementos tomados de
en
,
.
- Casos posibles: Para encontrar los casos posibles debemos calcular las variaciones con repetición de
Así, nuestra probabilidad de que todos los dados sean
es
.
2 Los puntos obtenidos sumen
.
- Casos favorables: Los casos favorables son los
siguientes

-
- Casos posibles: Del inciso anterior sabemos que los casos posibles son
.
- Casos posibles: Del inciso anterior sabemos que los casos posibles son
Así, nuestra probabilidad de que los dados sumen
es
. -
- Casos favorables: Los casos favorables son los
Hallar la probabilidad de que al levantar unas fichas de dominó se obtenga un número de puntos mayor que
o que sea múltiplo de
.
El evento de fichas de dominó en donde se obtenga un número de puntos mayor que
está dado por

El evento de fichas de dominó en donde se obtenga un número de puntos mayor que
está dado por

Por lo tanto, nuestro evento final a considerar es
. Además, el juego de dominó está compuesto por
fichas, por lo tanto, la probabilidad está dada por

Busca la probabilidad de que al echar un dado al aire, salga:
1 Un número par.
2 Un múltiplo de tres.
3 Mayor que cuatro.
1 Un número par.
-
-
-
- Casos favorables: Los casos favorables son los
siguientes

- Casos favorables: Los casos favorables son los
-
-
-
- Casos posibles: Al ser un dado de
caras, tenemos
casos favorables.
- Casos posibles: Al ser un dado de
Dado lo anterior, tenemos que la probabilidad es
.
2 Un múltiplo de tres.
-
- Casos favorables: Los casos favorables son los
siguientes

- Casos favorables: Los casos favorables son los
-
- Casos posibles: Al ser un dado de
caras, tenemos
casos favorables.
- Casos posibles: Al ser un dado de
Dado lo anterior, tenemos que la probabilidad es
.
3Mayor que cuatro.
-
- Casos favorables: Los casos favorables son los
siguientes

- Casos favorables: Los casos favorables son los
-
- Casos posibles: Al ser un dado de
caras, tenemos
casos favorables.
- Casos posibles: Al ser un dado de
Dado lo anterior, tenemos que la probabilidad es
.
Hallar la probabilidad de que al lanzar al aire dos monedas, salgan:
1 Dos caras.
2 Dos cruces.
3 Una cara y una cruz.
1 Dos caras.

Son sucesos independientes, por lo tanto, dado que la probabilidad de que cada moneda sea cara es
, tenemos que

2 Dos cruces.

Al igual que el inciso anterior, son sucesos independientes, por lo tanto, dado que la probabilidad de que cada moneda sea cruz es
, tenemos que

3 Una cara y una cruz.

La probabilidad de que obtengamos una cara y una cruz es la probabilidad de obtener el evento
. Además, al igual que en inciso anteriores, son sucesos independientes, por lo tanto, dado que la probabilidad de que cada moneda sea cruz o cara es
, tenemos que

En un sobre hay
papeletas,
llevan dibujado un coche las restantes son blancas. Hallar la probabilidad de extraer al menos una papeleta con el dibujo de un coche:
1 Si se saca una papeleta.
2 Si se extraen dos papeletas.
3 Si se extraen tres papeletas.
1 Si se saca una papeleta.
Tenemos
casos favorables y
posibles, por lo tanto
.
2 Si se extraen dos papeletas.
Tenemos que la probabilidad de que al sacar
paletas al menos una tenga un coche es igual a
menos la probabilidad de que al sacar
paletas las dos sean blancas. Por lo tanto

3 Si se extraen tres papeletas.
Tenemos que la probabilidad de que al sacar
paletas al menos una tenga un coche es igual a
menos la probabilidad de que al sacar
paletas todas sean blancas. Por lo tanto

Los estudiantes
y
tienen respectivamente probabilidades
y
de suspender un examen. La probabilidad de que suspendan el examen simultáneamente es de
. Determinar la probabilidad de que al menos uno de los dos estudiantes suspenda el examen.
Notemos que son sucesos compatibles porque
. Por lo tanto

Dos hermanos salen de caza. El primero mata un promedio de
piezas cada
disparos y el segundo
pieza cada
disparos. Si los dos disparan al mismo tiempo a una misma pieza, ¿cuál es la probabilidad de que la maten?
Primero calculemos la probabilidad de que ambos maten una pieza. Esto es

Notemos que, dado lo anterior, los sucesos son compatibles. Por lo tanto

Una clase consta de
hombres y
mujeres; la mitad de los hombres y la mitad de las mujeres tienen los ojos castaños. Determinar la probabilidad de que una persona elegida al azar sea un hombre o tenga los ojos castaños.

Dada nuestra tabla anterior, tenemos que la probabilidad es

La probabilidad de que un hombre viva
años es
y la de que su mujer viva
años es
. Se pide calcular la probabilidad:
1 De que ambos vivan
años.
2 De que el hombre viva
años y su mujer no.
3 De que ambos mueran antes de los
años.
1 De que ambos vivan
años.
Primero, notemos que son sucesos independientes, por lo tanto

2 De que el hombre viva
años y la mujer no.

3 De que ambos mueran antes de los
años.

Recuerda que en Superprof te ayudamos a encontrar tus clases particulares matematicas madrid. Si lo prefieres, también puedes optar por un profesor de matematicas online.
Resumir con IA:

Apuntes es una plataforma dirigida al estudio y la práctica de las matemáticas a través de la teoría y ejercicios interactivos que ponemos a vuestra disposición. Esta información está disponible para todo aquel/aquella que quiera profundizar en el aprendizaje de esta ciencia. Será un placer ayudaros en caso de que tengáis dudas frente algún problema, sin embargo, no realizamos un ejercicio que nos presentéis de 0 sin que hayáis si quiera intentado resolverlo. Ánimo, todo esfuerzo tiene su recompensa.
Hay un error en el problema 18 en la solución a, ya que al tener 20 hombres solteros, la probabilidad deria de 20/120 y no de 25/120 como se afirma
Hola revise los artículos y no encontré el problema, podrías hacerme el favor de darme el nombre del artículo, nos seria de mucha ayuda.
Hola! Este ejercicio creo que está mal…
Un hombre es conocido por decir la verdad 2 de 3 veces. El tira una moneda y dice que ha caído cara. Encuentra la probabilidad de que en realidad la moneda haya caído cara.
No se está considerando que, cuando dice la verdad, las chances son del 100% de que sea cara. No hay posibilidad de que sea ceca porque sino estaría mintiendo.
Hola agradecemos tus comentarios, podrías mencionar que número de ejercicio es pues hice una revisión y no encontré el ejercicio, seria de mucha ayuda por favor.
Quiero aprender más sobre matemáticas 💯 y como puedo hacer un ejemplo sobre la clase de permutaciones…y que fórmulas debo usar
Hola estas en el lugar indicado para aprender matematicas, en cuanto al tema que mencionas tenemos varios artículos que te pueden ayudar por ejemplo «https://www.superprof.es/apuntes/escolar/matematicas/probabilidades/combinatoria/variaciones-permutaciones-y-combinaciones.html» con este puedes comenzar.
En el ejercicio «Una mesa presidencial está formada por ocho personas. ¿De cuántas formas distintas se pueden sentar, si el presidente y el secretario siempre van juntos?» hay un error en la solución. A mí me sale 10080 = 2×7!
Agradecemos que nos compartieras tu observación. En efecto la solución anterior era para una mesa redonda, ya realizamos la corrección. Un saludo.
Necesito resolver estos problemas de variaciones
V8,5 y V5,3