Factorial de un número
El factorial de un entero positivo
, se define como el producto de todos los números enteros positivos desde
hasta
. Es decir que hay que multiplicar todos los números naturales que hay entre ese número y el
.
La función factorial se representa con un signo de exclamación “!” detrás de un número y tendremos entonces que el factorial de
es
Por ejemplo, el factorial de 5 es
Variaciones
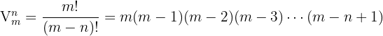
La variación, es cada una de las posibles tuplas que se pueden constituir a partir de un grupo de elementos.
Si tenemos
cantidad de elementos, podemos formar tuplas con una cantidad
de elementos, presentándose una diversa variedad de alternativas. Esto dependerá de si es posible o no repetir elementos en una misma tupla.
Si no se admiten elementos repetidos, entonces el número de n-tuplas en que ninguno de los elementos se repiten se llama número de variaciones sin repetición y las obtenemos mediante la siguiente formula
Cuando dentro de cada tupla se puede repetir un elemento más de una vez se llama número de variaciones con repetición y este resulta ser:
Permutaciones
Una permutación son los posibles ordenamientos de aquellos elementos que forman parte de un conjunto. Es decir, es un cambio de la manera en la que se disponen los elementos.
El numero de permutaciones en un conjunto de
elementos es

Por ejemplo, hay seis permutaciones del conjunto
pues tiene
elementos y
y estas son
Permutaciones circulares
Las permutaciones circulares son un caso particular de las permutaciones.
Se utilizan cuando los elementos se han de ordenar "en círculo", (por ejemplo, los comensales en una mesa), de modo que el primer elemento que "se sitúe" en la muestra determina el principio y el final de muestra.
El numero de permutaciones de
elementos en este caso es
Permutaciones con repetición
Una permutación con repetición consiste en una permutación de m elementos, de los cuales hay varios que son iguales entre sí
Supongamos que en el conjunto de los
elementos no son todos distintos entre sí, sino que el primer elemento se repite
veces, el segundo se repite
veces, ..., el n-esimo se repite
veces. De tal manera que

Entonces, el número de permutaciones de los elementos que se repiten son:
Permutaciones del primer elemento: 
Permutaciones del segundo elemento: 
Permutaciones del n-esimo elemento: 
Estas permutaciones de elementos idénticos son iguales entre sí. Y por tanto, las diferentes formas que ordenar los
elementos sería
Combinaciones
Se llama combinaciones de
elementos tomados de
en
con
a todas las agrupaciones posibles que pueden hacerse con los
elementos de forma que:
No entran todos los elementos
No importa el orden
No se repiten los elementos
Estas se calculan mediante
También podemos calcular las combinaciones mediante factoriales:
Combinaciones con repetición
Las combinaciones con repetición de
elementos tomados de
en
con
, son los distintos grupos formados por
elementos de manera que:
No entran todos los elementos.
No importa el orden.
Sí se repiten los elementos.
Al número de combinaciones con repetición se de denotará por
. El problema, entonces, consiste en determinar el valor de
, el cual podemos calcular con la siguiente fórmula:
Números combinatorios
Los números combinatorios, se definen y denotan como:

en donde
y
son enteros y
. El número combinatorio de arriba se lee como
sobre
.
Propiedades de los números combinatorios:
1 
2 
3 
Binomio de Newton
El binomio de Newton es la fórmula que nos permite hallar las potencias de un binomio, su formula es la siguiente
Término que ocupa el lugar k
Las siguientes formulas nos dan el termino de la posición
en la expansión de Newton de un binomio:
1 Para el binomio
tenemos que su termino k-esimo es

2 Para el binomio
tenemos que su termino k-esimo es

Resumir con IA:









Apuntes es una plataforma dirigida al estudio y la práctica de las matemáticas a través de la teoría y ejercicios interactivos que ponemos a vuestra disposición. Esta información está disponible para todo aquel/aquella que quiera profundizar en el aprendizaje de esta ciencia. Será un placer ayudaros en caso de que tengáis dudas frente algún problema, sin embargo, no realizamos un ejercicio que nos presentéis de 0 sin que hayáis si quiera intentado resolverlo. Ánimo, todo esfuerzo tiene su recompensa.
El ejercicio 7 está mal ya que el 5% de la población enferma no le corresponde una probabilidad del 0,005 sino del 0,05
Hola tienes razón, 5% es 0,05 pero no encontré el ejercicio que mencionas, podrías dar mas detalles por favor.
Hay un error en el problema 18 en la solución a, ya que al tener 20 hombres solteros, la probabilidad deria de 20/120 y no de 25/120 como se afirma
Hola revise los artículos y no encontré el problema, podrías hacerme el favor de darme el nombre del artículo, nos seria de mucha ayuda.
Hola! Este ejercicio creo que está mal…
Un hombre es conocido por decir la verdad 2 de 3 veces. El tira una moneda y dice que ha caído cara. Encuentra la probabilidad de que en realidad la moneda haya caído cara.
No se está considerando que, cuando dice la verdad, las chances son del 100% de que sea cara. No hay posibilidad de que sea ceca porque sino estaría mintiendo.
Hola agradecemos tus comentarios, podrías mencionar que número de ejercicio es pues hice una revisión y no encontré el ejercicio, seria de mucha ayuda por favor.
Quiero aprender más sobre matemáticas 💯 y como puedo hacer un ejemplo sobre la clase de permutaciones…y que fórmulas debo usar
Hola estas en el lugar indicado para aprender matematicas, en cuanto al tema que mencionas tenemos varios artículos que te pueden ayudar por ejemplo «https://www.superprof.es/apuntes/escolar/matematicas/probabilidades/combinatoria/variaciones-permutaciones-y-combinaciones.html» con este puedes comenzar.
En el ejercicio «Una mesa presidencial está formada por ocho personas. ¿De cuántas formas distintas se pueden sentar, si el presidente y el secretario siempre van juntos?» hay un error en la solución. A mí me sale 10080 = 2×7!
Agradecemos que nos compartieras tu observación. En efecto la solución anterior era para una mesa redonda, ya realizamos la corrección. Un saludo.