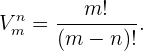
¿Qué son las variaciones ordinarias?
Se llama variaciones ordinarias de
elementos tomados de
en
a los distintos grupos formados por
elementos en donde:
- Importa el orden.
- No se repiten los elementos.
Las variaciones se denotan por

y la fórmula para calcularlas está dada por

Podemos pensar las variaciones ordinarias como tener un conjunto con
objetos, tomar de este todos los subconjuntos de
objetos y después ordenarlos de todas las maneras posibles cada subconjunto.
-
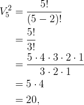
- Calcular las variaciones ordinarias dadas por
Tenemos que para este caso
,
y, por lo tanto,
.
Así
- Calcular las variaciones ordinarias dadas por
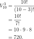
- Calcular las variaciones ordinarias dadas por
Tenemos que para este caso
,
y, por lo tanto,
.
Así
También podemos calcular las variaciones por medio de factoriales:

Resolviendos los ejemplos anteriores con factoriales tenemos para el primer caso

y para el segundo caso

Observación: si
, entonces estamos tratando con permutaciones (ordenamientos).
Ejemplos de cálculo de variaciones
1. Calcular las variaciones de 6 elementos tomados de tres en tres.
Tenemos que en este caso
,
y
, por lo tanto

Ahora hagamos el cálculo por medio de factoriales

2.¿Cuántos números de tres cifras diferentes se puede formar con los dígitos: 1, 2, 3, 4, 5?
Notemos que, por la descripción del ejemplo, se cumplen las características de variaciones ordinarias:
-
- Sí importa el orden. Son números distintos
.
- Sí importa el orden. Son números distintos
-
- No se repiten los elementos. El enunciado nos pide que las cifras sean diferentes
Además, para este ejemplo, tenemos que
,
y
, por lo tanto

Ahora, si hacemos el cálculo por medio de factoriales

3.¿Cuántos números de tres cifras diferentes se puede formar con los dígitos:
?
Tenemos que separar el número en dos bloques:
El primer bloque, de un número, lo puede ocupar sólo uno de 5 dígitos (
) porque un número no comienza por cero (excepto los de las matriculas, los de la lotería y otros casos particulares, los cuales no consideramos), por lo tanto, en este bloque tenemos
y
. Así, calculamos

El segundo bloque, de dos números, lo puede ocupar cualquier dígito del
al
menos el inicial(el que hayamos ocupado el primer bloque), así, para este bloque,
y
. Por lo tanto, calculamos

Así, nuestro resultado final sería la multiplicación de nuestros bloques:

4. A un concurso literario se han presentado 10 candidatos con sus novelas. El cuadro de honor lo forman el ganador, el finalista y un accésit. ¿Cuántos cuadros de honor se pueden formar?
Notemos que, por la descripción del ejemplo, se cumplen las características de variaciones ordinarias. Además, para este ejemplo, tenemos que
,
y
, por lo tanto

Ahora, si hacemos el cálculo por medio de factoriales


Apuntes es una plataforma dirigida al estudio y la práctica de las matemáticas a través de la teoría y ejercicios interactivos que ponemos a vuestra disposición. Esta información está disponible para todo aquel/aquella que quiera profundizar en el aprendizaje de esta ciencia. Será un placer ayudaros en caso de que tengáis dudas frente algún problema, sin embargo, no realizamos un ejercicio que nos presentéis de 0 sin que hayáis si quiera intentado resolverlo. Ánimo, todo esfuerzo tiene su recompensa.
Hola! Este ejercicio creo que está mal…
Un hombre es conocido por decir la verdad 2 de 3 veces. El tira una moneda y dice que ha caído cara. Encuentra la probabilidad de que en realidad la moneda haya caído cara.
No se está considerando que, cuando dice la verdad, las chances son del 100% de que sea cara. No hay posibilidad de que sea ceca porque sino estaría mintiendo.
Hola agradecemos tus comentarios, podrías mencionar que número de ejercicio es pues hice una revisión y no encontré el ejercicio, seria de mucha ayuda por favor.
Quiero aprender más sobre matemáticas 💯 y como puedo hacer un ejemplo sobre la clase de permutaciones…y que fórmulas debo usar
Hola estas en el lugar indicado para aprender matematicas, en cuanto al tema que mencionas tenemos varios artículos que te pueden ayudar por ejemplo «https://www.superprof.es/apuntes/escolar/matematicas/probabilidades/combinatoria/variaciones-permutaciones-y-combinaciones.html» con este puedes comenzar.
En el ejercicio «Una mesa presidencial está formada por ocho personas. ¿De cuántas formas distintas se pueden sentar, si el presidente y el secretario siempre van juntos?» hay un error en la solución. A mí me sale 10080 = 2×7!
Agradecemos que nos compartieras tu observación. En efecto la solución anterior era para una mesa redonda, ya realizamos la corrección. Un saludo.
Necesito resolver estos problemas de variaciones
V8,5 y V5,3
Supongamos que una escuela deportiva tiene 100 deportistas de los cuales 30 estan en nivel avanzado y 70 estan en nivel intermedio. Si se seleccionan al azar 5 deportistas, calcular la probabilidad de: A. Exactamente de dos de ellos esten en el nivel avanzado B. Exactamente cinco de