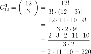
En una carrera de fórmula
en la que participan
pilotos, ¿de cuántas maneras se puede formar el pódium?
Solución =
Este campo es obligatorio.
Tenemos que formar grupos de
pilotos con los
que hay en total. Se verifica que en cada grupo:
- No entran todos los elementos.
- Sí importa el orden.
- No se repiten los elementos.
El número de variaciones sin repetición de
elementos tomados de tres en tres es: 
Si lanzamos a la vez cuatro dados de distinto tamaño, ¿cuántos resultados distintos podemos obtener?
Solución =
Este campo es obligatorio.
Tenemos que formar grupos de
elementos con los
posibles resultados que tiene un dado. Se verifica que en cada grupo:
- No entran todos los elementos.
- Sí importa el orden.
- Sí se repiten los elementos.
El número de variaciones con repetición de
elementos tomados de cuatro en cuatro es: 
En un torneo de tenis en el que participan
jugadores se pueden clasificar
jugadores para la final. ¿Cuántos grupos distintos de finalistas se pueden formar?
Solución =
Este campo es obligatorio.
Tenemos que formar grupos de
finalistas con los
jugadores que hay. Se verifica que en cada grupo:
- No entran todos los elementos.
- No importa el orden.
- No se repiten los elementos.
El número de combinaciones sin repetición de
elementos tomados de tres en tres es: 
¿De cuántas maneras pueden hacer cola
amigos que están esperando para entrar al cine?
Solución =
Este campo es obligatorio.
amigos. Se verifica que en cada grupo: - Si entran todos los elementos.
- Si importa el orden.
- No se repiten los elementos.
elementos es:
¿De cuántas maneras se pueden colocar en fila
vasos sabiendo que dos de ellos están llenos de refresco de naranja y tres de refresco de limón? (Los vasos del mismo sabor no se distinguen entre sí).
Solución =
Este campo es obligatorio.
elementos donde el primero se repite
veces y el segundo
veces. Se verifica que en cada grupo: - Sí entran todos los elementos.
- Sí importa el orden.
- Sí se repiten los elementos.
elementos donde uno se repite dos veces y otro tres veces es:
¿De cuántas maneras se pueden sentar
personas en una mesa circular?
Solución =
Este campo es obligatorio.
Como las personas están colocadas alrededor de una circunferencia, si trasladamos a todas las personas un asiento, obtenemos una posición que es exactamente igual que la anterior.
Se trata entonces de permutaciones circulares de
elementos.

En una floristería hay
tipos de flores, ¿de cuántas formas se pueden elegir
flores?
Solución es =
Este campo es obligatorio.
Tenemos que formar grupos de
flores con los
tipos que hay. Se verifica que en cada grupo:
- No entran todos los elementos.
- No importa el orden.
- Sí se repiten los elementos.
El número de combinaciones con repetición de
elementos tomados de ocho en ocho es:

¿Cuántos números distintos se pueden formar con las cifras
?
Solución =
Este campo es obligatorio.
Tenemos que formar grupos de
elementos donde el primero se repite dos veces, el segundo una vez, el tercero tres veces, el cuarto una vez, el quinto una vez y el sexto dos veces. Se verifica que en cada grupo:
- Sí entran todos los elementos.
- Sí importa el orden.
- Sí se repiten los elementos.
El número de permutaciones con repetición de
elementos donde tres de ellos se repiten una vez, dos de ellos se repiten dos veces y uno tres veces es:

¿Cuántos números capicúa de seis cifras se pueden formar?
Solución =
Este campo es obligatorio.
Los números capicúa serán de la forma abccba, así que basta ver las ordenaciones que hay de la forma abc. Tenemos que formar grupos de
elementos con los
dígitos que hay. Se verifica que en cada grupo:
- No entran todos los elementos.
- Sí importa el orden.
- Sí se repiten los elementos.
El número de variaciones con repetición de
elementos tomados de tres en tres es:

Pero están incluidos los que empiezan por cero, que no forman números de
cifras por lo que habrá que restarlos:
Fijamos el cero como primer dígito y formamos grupos de
elementos con los
dígitos. Se verifica que en cada grupo:
- No entran todos los elementos.
- Sí importa el orden.
- Sí se repiten los elementos.
El número de variaciones con repetición de
elementos tomados de dos en dos es:

Luego,
así que se pueden formar 900 números capicúa de seis cifras.
¿De cuántas maneras se pueden repartir tres premios distintos entre
atletas?
Solución =
Este campo es obligatorio.
Tenemos que formar grupos de
atletas de entre los
que hay. Se verifica que en cada grupo:
- No entran todos los elementos.
- Sí importa el orden.
- No se repiten los elementos.
El número de variaciones sin repetición de
elementos tomados de tres en tres es:

¿Buscas una profesora matematicas a domicilio? ¡Encuéntrala en Superprof!
Resumir con IA:

Apuntes es una plataforma dirigida al estudio y la práctica de las matemáticas a través de la teoría y ejercicios interactivos que ponemos a vuestra disposición. Esta información está disponible para todo aquel/aquella que quiera profundizar en el aprendizaje de esta ciencia. Será un placer ayudaros en caso de que tengáis dudas frente algún problema, sin embargo, no realizamos un ejercicio que nos presentéis de 0 sin que hayáis si quiera intentado resolverlo. Ánimo, todo esfuerzo tiene su recompensa.
El ejercicio 7 está mal ya que el 5% de la población enferma no le corresponde una probabilidad del 0,005 sino del 0,05
Hola tienes razón, 5% es 0,05 pero no encontré el ejercicio que mencionas, podrías dar mas detalles por favor.
Hay un error en el problema 18 en la solución a, ya que al tener 20 hombres solteros, la probabilidad deria de 20/120 y no de 25/120 como se afirma
Hola revise los artículos y no encontré el problema, podrías hacerme el favor de darme el nombre del artículo, nos seria de mucha ayuda.
Hola! Este ejercicio creo que está mal…
Un hombre es conocido por decir la verdad 2 de 3 veces. El tira una moneda y dice que ha caído cara. Encuentra la probabilidad de que en realidad la moneda haya caído cara.
No se está considerando que, cuando dice la verdad, las chances son del 100% de que sea cara. No hay posibilidad de que sea ceca porque sino estaría mintiendo.
Hola agradecemos tus comentarios, podrías mencionar que número de ejercicio es pues hice una revisión y no encontré el ejercicio, seria de mucha ayuda por favor.
Quiero aprender más sobre matemáticas 💯 y como puedo hacer un ejemplo sobre la clase de permutaciones…y que fórmulas debo usar
Hola estas en el lugar indicado para aprender matematicas, en cuanto al tema que mencionas tenemos varios artículos que te pueden ayudar por ejemplo «https://www.superprof.es/apuntes/escolar/matematicas/probabilidades/combinatoria/variaciones-permutaciones-y-combinaciones.html» con este puedes comenzar.
En el ejercicio «Una mesa presidencial está formada por ocho personas. ¿De cuántas formas distintas se pueden sentar, si el presidente y el secretario siempre van juntos?» hay un error en la solución. A mí me sale 10080 = 2×7!
Agradecemos que nos compartieras tu observación. En efecto la solución anterior era para una mesa redonda, ya realizamos la corrección. Un saludo.