Contesta a las siguientes preguntas, redondeando a dos cifras decimales siempre que sea necesario:
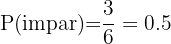
1 Calcular la probabilidad de que al tirar un dado salga:
Un número impar
Este campo es obligatorio.

Un múltiplo de
Este campo es obligatorio.

Un número menor que
Este campo es obligatorio.
{P(<5)=\displaystyle\frac{4}{6}=0.67}[/latex]
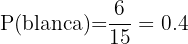
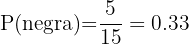
2 Una urna tiene
bolas blancas,
negras y
rojas. Si se extrae una bola al azar calcular la probabiliidad de:
Sea blanca.
Este campo es obligatorio.

Sea negra
Este campo es obligatorio.

No sea roja.
Este campo es obligatorio.

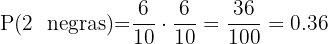
3 De una urna que contiene
bolas blancas y
negras, se extraen
bolas al azar, con reemplazamiento. Calcular la probabilidad de que:
Las dos sean negras.
Este campo es obligatorio.

Una sea blanca y la otra negra.
Este campo es obligatorio.

4 De una urna que contiene
bolas blancas y
negras, se extraen dos bolas al azar, sin reemplazamiento. Calcular la probabilidad de que:
Las dos sean negras
Este campo es obligatorio.

Una sea blanca y la otra negra.
Este campo es obligatorio.

5 Se lanzan dos dados al aire y se anota la suma de los puntos obtenidos. Se pide:
La probabilidad de que la suma sea
.
Este campo es obligatorio.

La probabilidad de que la suma sea
.
Este campo es obligatorio.

6De una baraja de
cartas se extrae simultáneamente
de ellas. Calcular la probabilidad de que:
Las dos sean espadas.
Este campo es obligatorio.

Al menos una espada.
Este campo es obligatorio.

Una espada y otra copa.
Este campo es obligatorio.

7Juan y Pedro van de caza, sabiendo que Juan acierta
de
disparos y que Pedro acierta
de cada
disparos. Calcular la probabilidad de que:
Juan cace una pieza.
Este campo es obligatorio.

Pedro cace una pieza.
Este campo es obligatorio.

Los dos abatan la misma pieza.
Este campo es obligatorio.

Al menos uno abata la pieza.
Este campo es obligatorio.
La probabilidad será que acierte Juan o que acierte Pedro menos la probabilidad de que ambos acierten a la vez.

8 En una clase hay
alumnas con gafas y
sin gafas,
alumnos con gafas y
alumnos sin gafas. Un día asisten
alumnos, calcular la probabilidad de que el alumno que falte sea:
Hombre
Este campo es obligatorio.

Mujer sin gafas
Este campo es obligatorio.

Hombre o mujer
Este campo es obligatorio.

Si tienes dudas puedes consultar la teoría
Resumir con IA:

Apuntes es una plataforma dirigida al estudio y la práctica de las matemáticas a través de la teoría y ejercicios interactivos que ponemos a vuestra disposición. Esta información está disponible para todo aquel/aquella que quiera profundizar en el aprendizaje de esta ciencia. Será un placer ayudaros en caso de que tengáis dudas frente algún problema, sin embargo, no realizamos un ejercicio que nos presentéis de 0 sin que hayáis si quiera intentado resolverlo. Ánimo, todo esfuerzo tiene su recompensa.
El ejercicio 7 está mal ya que el 5% de la población enferma no le corresponde una probabilidad del 0,005 sino del 0,05
Hola tienes razón, 5% es 0,05 pero no encontré el ejercicio que mencionas, podrías dar mas detalles por favor.
Hay un error en el problema 18 en la solución a, ya que al tener 20 hombres solteros, la probabilidad deria de 20/120 y no de 25/120 como se afirma
Hola revise los artículos y no encontré el problema, podrías hacerme el favor de darme el nombre del artículo, nos seria de mucha ayuda.
Hola! Este ejercicio creo que está mal…
Un hombre es conocido por decir la verdad 2 de 3 veces. El tira una moneda y dice que ha caído cara. Encuentra la probabilidad de que en realidad la moneda haya caído cara.
No se está considerando que, cuando dice la verdad, las chances son del 100% de que sea cara. No hay posibilidad de que sea ceca porque sino estaría mintiendo.
Hola agradecemos tus comentarios, podrías mencionar que número de ejercicio es pues hice una revisión y no encontré el ejercicio, seria de mucha ayuda por favor.
Quiero aprender más sobre matemáticas 💯 y como puedo hacer un ejemplo sobre la clase de permutaciones…y que fórmulas debo usar
Hola estas en el lugar indicado para aprender matematicas, en cuanto al tema que mencionas tenemos varios artículos que te pueden ayudar por ejemplo «https://www.superprof.es/apuntes/escolar/matematicas/probabilidades/combinatoria/variaciones-permutaciones-y-combinaciones.html» con este puedes comenzar.
En el ejercicio «Una mesa presidencial está formada por ocho personas. ¿De cuántas formas distintas se pueden sentar, si el presidente y el secretario siempre van juntos?» hay un error en la solución. A mí me sale 10080 = 2×7!
Agradecemos que nos compartieras tu observación. En efecto la solución anterior era para una mesa redonda, ya realizamos la corrección. Un saludo.