Desarrollar:
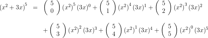
1
1 Aplicamos el binomio de Newton

2 Resolvemos las combinaciones

3 Simplificando obtenemos

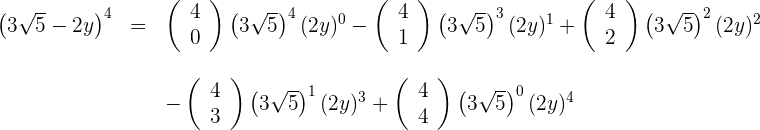
2
1 Aplicamos el binomio de Newton

2 Resolvemos las combinaciones

3 Simplificando obtenemos

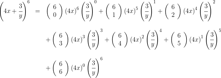
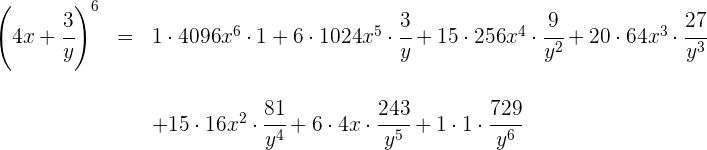
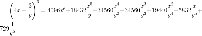
3 
1 Aplicamos el binomio de Newton

2 Resolvemos las combinaciones

3 Simplificando obtenemos

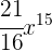
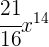
4El término séptimo del desarrollo de 
Calculamos el séptimo término
5El término sexto del desarrollo de 
Calculamos el sexto término
Dado un número combinatorio
, definimos su complementario por el número combinatorio
.
Calcula los complementarios de los siguientes números combinatorios:
6 
Solucion =
Sabemos que el complemento de
es
, entonces el complemento buscado es
7 
Solucion =
Sabemos que el complemento de
es
, entonces el complemento buscado es
8 
Solucion =
Sabemos que el complemento de
es
, entonces el complemento buscado es
9 
Solucion =
Sabemos que el complemento de
es
, entonces el complemento buscado es
Calcula las incógnitas utilizando las propiedades de los números combinatorios:
10 
Igualando los términos tenemos:
11 
Utilizamos la propiedad
, entonces si igualamos las componentes de los números combinatorios queda:
de donde se obtiene que 
12 
Utilizamos la propiedad
, entonces si igualamos las componentes de los números combinatorios queda:
Entonces:
13 
Utilizamos la propiedad
, entonces si igualamos las componentes de los números combinatorios queda:
Entonces:
Resumir con IA:

Apuntes es una plataforma dirigida al estudio y la práctica de las matemáticas a través de la teoría y ejercicios interactivos que ponemos a vuestra disposición. Esta información está disponible para todo aquel/aquella que quiera profundizar en el aprendizaje de esta ciencia. Será un placer ayudaros en caso de que tengáis dudas frente algún problema, sin embargo, no realizamos un ejercicio que nos presentéis de 0 sin que hayáis si quiera intentado resolverlo. Ánimo, todo esfuerzo tiene su recompensa.
El ejercicio 7 está mal ya que el 5% de la población enferma no le corresponde una probabilidad del 0,005 sino del 0,05
Hola tienes razón, 5% es 0,05 pero no encontré el ejercicio que mencionas, podrías dar mas detalles por favor.
Hay un error en el problema 18 en la solución a, ya que al tener 20 hombres solteros, la probabilidad deria de 20/120 y no de 25/120 como se afirma
Hola revise los artículos y no encontré el problema, podrías hacerme el favor de darme el nombre del artículo, nos seria de mucha ayuda.
Hola! Este ejercicio creo que está mal…
Un hombre es conocido por decir la verdad 2 de 3 veces. El tira una moneda y dice que ha caído cara. Encuentra la probabilidad de que en realidad la moneda haya caído cara.
No se está considerando que, cuando dice la verdad, las chances son del 100% de que sea cara. No hay posibilidad de que sea ceca porque sino estaría mintiendo.
Hola agradecemos tus comentarios, podrías mencionar que número de ejercicio es pues hice una revisión y no encontré el ejercicio, seria de mucha ayuda por favor.
Quiero aprender más sobre matemáticas 💯 y como puedo hacer un ejemplo sobre la clase de permutaciones…y que fórmulas debo usar
Hola estas en el lugar indicado para aprender matematicas, en cuanto al tema que mencionas tenemos varios artículos que te pueden ayudar por ejemplo «https://www.superprof.es/apuntes/escolar/matematicas/probabilidades/combinatoria/variaciones-permutaciones-y-combinaciones.html» con este puedes comenzar.
En el ejercicio «Una mesa presidencial está formada por ocho personas. ¿De cuántas formas distintas se pueden sentar, si el presidente y el secretario siempre van juntos?» hay un error en la solución. A mí me sale 10080 = 2×7!
Agradecemos que nos compartieras tu observación. En efecto la solución anterior era para una mesa redonda, ya realizamos la corrección. Un saludo.