Capítulos

La razón que existe entre un lado de un triángulo oblicuángulo y el seno del ángulo opuesto a dicho lado es proporcional a la misma razón entre los lados y ángulos restantes, es decir:

Esta relación es conocida como la ley de senos.
III Resolver un triángulo conociendo dos lados y un ángulo opuesto
Supongamos que tenemos y
, es decir,

Se tiene los siguientes casos:
No hay solución
Triángulo rectángulo
Una o dos soluciones
Ejemplos de los casos
1 No hay solución






Como el seno de un ángulo nunca puede ser mayor que 1, el problema no tiene solución.

La figura muestra la imposibilidad de que exista el triángulo planteado.
2 Triángulo rectángulo







Ahora calculamos el ángulo restante y el valor de los lados faltantes.



3 Una o dos soluciones
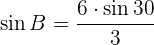
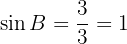
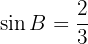
1 Resuelve el triángulo de datos: ,
y
. Por la ley de senos se tiene la siguiente relación:
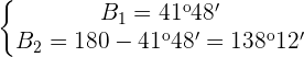
Entonces tenemos dos opciones:
Como
solo es válida la solución:
Calculamos el lado faltante,

Aplicando de nuevo la ley de senos:



2 Resuelve el triángulo de datos: ,
y
.



Entonces,

Como solo son válidas las dos soluciones

Aplicando de nuevo la ley de senos:




Aplicando de nuevo la ley de senos:



Apuntes es una plataforma dirigida al estudio y la práctica de las matemáticas a través de la teoría y ejercicios interactivos que ponemos a vuestra disposición. Esta información está disponible para todo aquel/aquella que quiera profundizar en el aprendizaje de esta ciencia. Será un placer ayudaros en caso de que tengáis dudas frente algún problema, sin embargo, no realizamos un ejercicio que nos presentéis de 0 sin que hayáis si quiera intentado resolverlo. Ánimo, todo esfuerzo tiene su recompensa.
Cálculo el lado bc aplicando la ley de cosenos b=5cm c=6cm a=60°
Materia:
erica V= 1
Calcula el lado BC aplicando
5
V
0
V
4
V
A
B
AB = 6cm
CR
Datos
0 =5cm
C=600
En un triángulo, se tienen los datos: A = 50° ,B = 65° y a = 12. Encuentra el lado b.
excelente, por ejemplo tengo uno donde me hacen falta el ángulo A, B, C tengo estos datos lado a:14, b:6, c:4
La respuesta es 14.197
¿ porqué no hay un modo de resolver triángulos sin la necesidad de aplicar la Trigonometria académica ? Saludos, profesor.
Hola, posiblemente exista otro método, pero por desgracia es todavía mas difícil que la trigonometría académica incluso te puedo asegurar que hoy en día es mas fácil y mas directo resolver los problemas de triángulos, entendemos que a veces llega a ser confuso pero te aseguramos que este método es el mas sencillo que existe.
Resuelve esto bien y claro.
¿Cuánto le falta al complemento del suplemento de 165,315° para alcanzar el suplemento del complemento de π/12 rad?
como resolver este ejercicio (tag x )2 -1
_________= -(tag x )2
(cotag x )2 -1