Funciones trigonométricas de diversos ángulos
Ángulos complementarios
Dos ángulos
son complementarios si su suma es igual a
que es lo mismo en radianes a
. Para dos ángulos complementarios se cumple:

Expresamos las funciones trigonométricas seno, coseno y tangente de un ángulo complementario en término de su complemento:
1
2
3

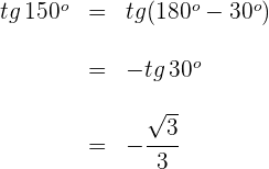
Ejemplo: Calcular
1 
El complemento del ángulo
es
, entonces

Empleamos la fórmula para el seno del complemento de un ángulo

2 
El complemento del ángulo
es
, entonces

Empleamos la fórmula para el coseno del complemento de un ángulo

3 
El complemento del ángulo
es
, entonces

Empleamos la fórmula para la tangente del complemento de un ángulo

Ángulos suplementarios
Dos ángulos
son suplementarios si su suma es igual a
que es lo mismo en radianes a
. Para dos ángulos suplementarios se cumple:

Expresamos las funciones trigonométricas seno, coseno y tangente de un ángulo suplementario en término de su suplemento:
1
2
3

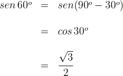
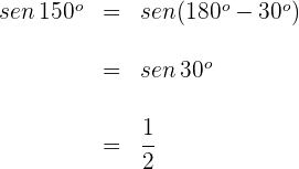
Ejemplo: Calcular
1 
El suplemento del ángulo
es
, entonces

Empleamos la fórmula para el seno del suplemento de un ángulo

2 
El suplemento del ángulo
es
, entonces

Empleamos la fórmula para el coseno del suplemento de un ángulo

3 
El suplemento del ángulo
es
, entonces

Empleamos la fórmula para la tangente del suplemento de un ángulo

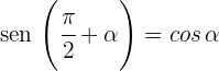
Ángulos que difieren en 
Expresamos las funciones trigonométricas seno, coseno y tangente para este tipo de ángulos:
1
2
3

Ejemplo: Calcular
1 
Este ángulo se expresa como
, entonces

Empleamos la primera fórmula se obtiene

2 
Este ángulo se expresa como
, entonces

Empleamos la segunda fórmula y obtenemos

3 
Este ángulo se expresa como
, entonces

Empleamos la tercera fórmula y obtenemos

Ángulos opuestos
Expresamos las funciones trigonométricas seno, coseno y tangente para este tipo de ángulos:
1
2
3

Ejemplo: Calcular
1 
Este ángulo se expresa como
, entonces

Empleamos la primera fórmula y se obtiene

2 
Este ángulo se expresa como
, entonces

Empleamos la segunda fórmula y obtenemos

3 
Este ángulo se expresa como
, entonces

Empleamos la tercera fórmula y obtenemos

Ángulos negativos
Expresamos las funciones trigonométricas seno, coseno y tangente para este tipo de ángulos:
1
2
3

Ejemplo: Calcular
1 
Empleamos la primera fórmula y se obtiene

2 
Empleamos la segunda fórmula y obtenemos

3 
Empleamos la tercera fórmula y obtenemos

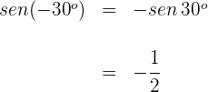
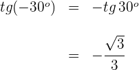
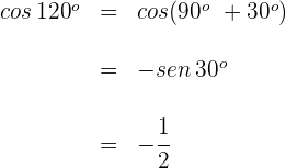
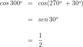
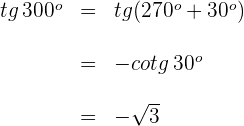
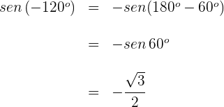
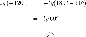
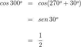
Ángulos mayores de 
Expresamos las funciones trigonométricas seno, coseno y tangente para este tipo de ángulos:
1
2
3

Ejemplo: Calcular
1 
Este ángulo se expresa como
, entonces

Empleamos la primera fórmula y se obtiene

2 
Este ángulo se expresa como
, entonces

Empleamos la segunda fórmula y obtenemos

3 
Este ángulo se expresa como
, entonces

Empleamos la tercera fórmula y obtenemos

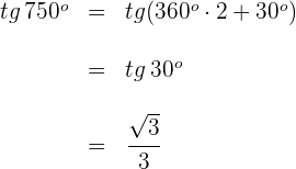
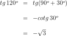
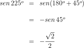
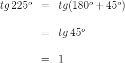
Ángulos que difieren en 
Expresamos las funciones trigonométricas seno, coseno y tangente para este tipo de ángulos:
1
2
3

Ejemplo: Calcular
1 
Este ángulo se expresa como
, entonces

Empleamos la primera fórmula y se obtiene

2 
Este ángulo se expresa como
, entonces

Empleamos la segunda fórmula y obtenemos

3 
Este ángulo se expresa como
, entonces

Empleamos la tercera fórmula y obtenemos

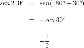
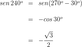
Ángulos que suman en 
Expresamos las funciones trigonométricas seno, coseno y tangente para este tipo de ángulos:
1
2
3

Ejemplo: Calcular
1 
Este ángulo se expresa como
, entonces

Empleamos la primera fórmula y se obtiene

2 
Este ángulo se expresa como
, entonces

Empleamos la segunda fórmula y obtenemos

3 
Este ángulo se expresa como
, entonces

Empleamos la tercera fórmula y obtenemos

Ángulos que difieren en 
Expresamos las funciones trigonométricas seno, coseno y tangente para este tipo de ángulos:
1
2
3

Ejemplo: Calcular
1 
Este ángulo se expresa como
, entonces

Empleamos la primera fórmula y se obtiene

2 
Este ángulo se expresa como
, entonces

Empleamos la segunda fórmula y obtenemos

3 
Este ángulo se expresa como
, entonces

Empleamos la tercera fórmula y obtenemos

Ejercicios
Calcula las razones de los siguientes ángulos:

1 Este ángulo se expresa como
, entonces empleamos la fórmula para ángulos que difieren 
2 Calculamos 

3 Calculamos 

4 Calculamos 


1 Este ángulo se expresa como
, entonces empleamos la fórmula para ángulos opuestos
2 Calculamos 

3 Calculamos 

4 Calculamos 


1 Este ángulo se expresa como
, entonces empleamos la fórmula para ángulos mayores de 
2 Calculamos 

Aplicamos la fórmula para ángulos suplementarios

3 Calculamos 

Aplicamos la fórmula para ángulos suplementarios

4 Calculamos 

Aplicamos la fórmula para ángulos suplementarios


1 Este ángulo se expresa como
, entonces empleamos la fórmula para ángulos mayores de 
2 Calculamos 

Aplicamos la fórmula para ángulos negativos y luego la de ángulos suplementarios

3 Calculamos 

Aplicamos la fórmula para ángulos negativos y luego la de ángulos suplementarios

4 Calculamos 

Aplicamos la fórmula para ángulos ángulos negativos y luego la de suplementarios


1 Empleamos las fórmulas para ángulos negativos y seguidamente la fórmula para ángulos suplementarios
2 Calculamos 

3 Calculamos 

4 Calculamos 


1 Este ángulo se expresa como
, entonces empleamos la fórmula para ángulos mayores de 
2 Calculamos 

Aplicamos la fórmula para ángulos que difieren en 

3 Calculamos 

Aplicamos la fórmula para ángulos que difieren en 

4 Calculamos 

Aplicamos la fórmula para ángulos que difieren en 

Resumir con IA:









Apuntes es una plataforma dirigida al estudio y la práctica de las matemáticas a través de la teoría y ejercicios interactivos que ponemos a vuestra disposición. Esta información está disponible para todo aquel/aquella que quiera profundizar en el aprendizaje de esta ciencia. Será un placer ayudaros en caso de que tengáis dudas frente algún problema, sin embargo, no realizamos un ejercicio que nos presentéis de 0 sin que hayáis si quiera intentado resolverlo. Ánimo, todo esfuerzo tiene su recompensa.
Cálculo el lado bc aplicando la ley de cosenos b=5cm c=6cm a=60°
Materia:
erica V= 1
Calcula el lado BC aplicando
5
V
0
V
4
V
A
B
AB = 6cm
CR
Datos
0 =5cm
C=600
En un triángulo, se tienen los datos: A = 50° ,B = 65° y a = 12. Encuentra el lado b.
excelente, por ejemplo tengo uno donde me hacen falta el ángulo A, B, C tengo estos datos lado a:14, b:6, c:4
La respuesta es 14.197
¿ porqué no hay un modo de resolver triángulos sin la necesidad de aplicar la Trigonometria académica ? Saludos, profesor.
Hola, posiblemente exista otro método, pero por desgracia es todavía mas difícil que la trigonometría académica incluso te puedo asegurar que hoy en día es mas fácil y mas directo resolver los problemas de triángulos, entendemos que a veces llega a ser confuso pero te aseguramos que este método es el mas sencillo que existe.
Resuelve esto bien y claro.
¿Cuánto le falta al complemento del suplemento de 165,315° para alcanzar el suplemento del complemento de π/12 rad?
como resolver este ejercicio (tag x )2 -1
_________= -(tag x )2
(cotag x )2 -1