En trigonometría tenemos muchas identidades que relaciones las funciones seno, coseno y tangente, tales como la identidad para el seno, coseno o tangente de suma o resta de ángulo. En este caso mostramos las razones correspondientes a el seno, coseno y tangente para la mitad de un ángulo.Dado un ángulo
consideremos las siguientes identidades trigonométricas,
Seno del ángulo mitad
Utilizando las identidades anteriores obtenemos la siguiente formula para el seno de la mitad de un ángulo 
Finalmente, dividiendo por dos y sacando raíz obtenemos,
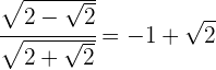
Ejemplo
Como ejemplo tomamos el ángulo
y deseamos calcular seno de este ángulo,
Coseno del ángulo mitad
Utilizando las identidades anteriores obtenemos la siguiente formula para el coseno de la mitad de un ángulo 
Finalmente, dividiendo por dos y sacando raíz obtenemos,
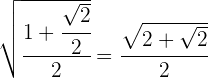
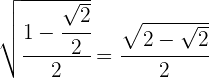
Ejemplo
Como ejemplo tomamos el ángulo
y deseamos calcular coseno de este ángulo,
Tangente del ángulo mitad
Utilizando las formulas para el seno y el coseno de un ángulo medio obtenemos una formula para la tangente de un ángulo medio,
Finalmente obtenemos que
Ejemplo
Como ejemplo tomamos el ángulo
y deseamos calcular tangente de este ángulo,
Resumir con IA:









Apuntes es una plataforma dirigida al estudio y la práctica de las matemáticas a través de la teoría y ejercicios interactivos que ponemos a vuestra disposición. Esta información está disponible para todo aquel/aquella que quiera profundizar en el aprendizaje de esta ciencia. Será un placer ayudaros en caso de que tengáis dudas frente algún problema, sin embargo, no realizamos un ejercicio que nos presentéis de 0 sin que hayáis si quiera intentado resolverlo. Ánimo, todo esfuerzo tiene su recompensa.
Cálculo el lado bc aplicando la ley de cosenos b=5cm c=6cm a=60°
Materia:
erica V= 1
Calcula el lado BC aplicando
5
V
0
V
4
V
A
B
AB = 6cm
CR
Datos
0 =5cm
C=600
En un triángulo, se tienen los datos: A = 50° ,B = 65° y a = 12. Encuentra el lado b.
excelente, por ejemplo tengo uno donde me hacen falta el ángulo A, B, C tengo estos datos lado a:14, b:6, c:4
La respuesta es 14.197
¿ porqué no hay un modo de resolver triángulos sin la necesidad de aplicar la Trigonometria académica ? Saludos, profesor.
Hola, posiblemente exista otro método, pero por desgracia es todavía mas difícil que la trigonometría académica incluso te puedo asegurar que hoy en día es mas fácil y mas directo resolver los problemas de triángulos, entendemos que a veces llega a ser confuso pero te aseguramos que este método es el mas sencillo que existe.
Resuelve esto bien y claro.
¿Cuánto le falta al complemento del suplemento de 165,315° para alcanzar el suplemento del complemento de π/12 rad?
como resolver este ejercicio (tag x )2 -1
_________= -(tag x )2
(cotag x )2 -1