¡Bienvenidos a nuestra página de ejercicios de Trigonometría! Aquí encontrarás una amplia gama de problemas que abarcan desde lo más básico hasta los conceptos más avanzados de este fascinante campo de las matemáticas.
La trigonometría es una rama de las matemáticas que estudia las relaciones entre los ángulos y los lados de los triángulos. Con raíces antiguas en la astronomía y la navegación, esta disciplina tiene aplicaciones en una variedad de campos, desde la física hasta la ingeniería, pasando por la informática y mucho más.
Nuestra página está diseñada para ayudarte a fortalecer tus habilidades en trigonometría, Cada ejercicio está diseñado para desafiar tu comprensión y mejorar tus habilidades de resolución de problemas.
Recuerda, la práctica hace al maestro. Así que, ¡adelante! Sumérgete en estos ejercicios y descubre la belleza y la utilidad de la trigonometría.
Sabiendo que
calcular las restantes razones trigonométricas.
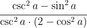
La cosecante es positiva en dos cuadrantes, los valores de
y
serán los mismos valores para ambos cuadrantes, la diferencia entre los casos son los signos de algunas razones trigonométricas. Entonces comenzamos por encontrar los valores de
y
.La definición de la cosecante es
, por lo tanto
, ahora calculamos el valor de
usando pitágoras,


en este cuadrante es negativo:

Calcula las razones de los siguientes ángulos:


Recordemos que dependiendo de la función, los ángulos negativos pueden o no, hacer a la función negativa. Además que cuando tenemos ángulos mayores de 90º buscamos expresar el ángulo de la siguiente forma
dónde si
es par entonces es igual a la función de
, es decir,
, donde
representa a las funciones trigonométricas. También es importante recordar que las funciones tienen diferentes signos dependiendo del cuadrante en el que se encuentren.
a 
entonces estamos en el cuadrante II, por lo tanto tenemos que considerar el signo de cada una de las funciones,
b 
y tenemos un residuo de
, el cual es el equivalente, por lo tanto calcularemos las funciones trigonométricas para el ángulo
.

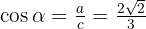
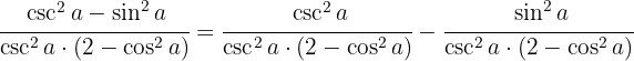
Simplificar las fracciones:



Para simplificar las fracciones tenemos que recordar tanto las funciones trigonométricas y sus definiciones como también algunas identidades trigonométricas.
Comenzaremos aplicando directamente las correspondientes identidades trigonométricas y posteriormente cambiamos la definición de secante y cosecante,
Para finalmente hacer la división de fracciones y encontrar la definición de tangente. 
Comenzamos por usar la definición de secante, hacer la resta y división de fracciones,
Convertimos la diferencia de cuadrados en binomios conjugados y cambiamos la definición de tangente.
Se cancelan los cosenos y usamos la identidad

Comenzamos por separar las fracciones y simplificar,
Volvemos a juntar la resta y separamos el número 2 para poder usar la identidad
Convertimos la diferencia de cuadrados en binomios conjugados y volvemos a aplicar la identidad

Calcular la longitud del lado y de la apotema de un octógono regular inscrito en una circunferencia de 49 centímetros de radio.
Comenzamos por calcular el valor del ángulo,

Dividimos el ángulo a la mitad para poder formar un triángulo rectángulo y así poder aplicar las funciones trigonométricas.Para encontrar el valor del lado usamos la función seno.
Entonces despejando el valor de l, tenemos:
cm Para encontrar el valor del apotema usamos la función coseno.
Despejamos el apotema,
cmTres pueblos A, B y C están unidos por carreteras. La distancia de A a C es 6 km y la de B a C 9 km. El ángulo que forman estas carreteras es 120°. ¿Cuánto distan A y B?
Para encontrar el valor de la distancia que hay entre A y B la forma más sencilla es aplicar la ley de cosenos,

Comenzamos por aplicar directamente la ley de cosenos, es decir:
cm
Resuelve la siguiente ecuación trigonométrica 
rimero, usamos la definición de tangente y cotangente en términos de las funciones seno y coseno:
Si quitamos denominadores y pasamos restando el término de la derecha, obtenemos
Ahora, usamos la fórmula para la resta de ángulos de la función seno
para obtener que
Por lo tanto, obtenemos que
Así, el problema se reduce a resolver la ecuación
Recordemos que, la función seno se anula cuando su argumento es un múltiplo entero de
Así, obtenemos que
Por lo tanto, la solución es

Obtén el valor de lo siguiente



Como en el ejercicio 2, nuevamente usaremos el resultado que nos dice que
donde
es un número par y
representa a cualquiera de las funciones trigonométricas.
a
tenemos que b
donde hemos usado el primer inciso para obtener el resultado.
c
Por lo tanto Utilizando que
, hallar el valor de
en la siguiente imagen

El valor de
representa la hipotenusa del triángulo rectángulo de la imagen. Tenemos información del ángulo y del cateto opuesto al ángulo, por lo tanto, como queremos conocer la hipotenusa, utilizamos la función seno: 
Por lo tanto, se tiene que 
Así, se tiene finalmente que
Demuestra las siguientes identidades trigonométricas


a
en el intervalo
Tenemos que
Así,
es la única solución en el intervalo 
b
en el intervalo 
Observe que
Lo anterior implica que 
- Si

- Si
la cual no tiene soluciones reales.
Por lo tanto, la solución es
En el intervalo
, las soluciones son 
Resumir con IA:






Apuntes es una plataforma dirigida al estudio y la práctica de las matemáticas a través de la teoría y ejercicios interactivos que ponemos a vuestra disposición. Esta información está disponible para todo aquel/aquella que quiera profundizar en el aprendizaje de esta ciencia. Será un placer ayudaros en caso de que tengáis dudas frente algún problema, sin embargo, no realizamos un ejercicio que nos presentéis de 0 sin que hayáis si quiera intentado resolverlo. Ánimo, todo esfuerzo tiene su recompensa.
Cálculo el lado bc aplicando la ley de cosenos b=5cm c=6cm a=60°
Materia:
erica V= 1
Calcula el lado BC aplicando
5
V
0
V
4
V
A
B
AB = 6cm
CR
Datos
0 =5cm
C=600
En un triángulo, se tienen los datos: A = 50° ,B = 65° y a = 12. Encuentra el lado b.
excelente, por ejemplo tengo uno donde me hacen falta el ángulo A, B, C tengo estos datos lado a:14, b:6, c:4
La respuesta es 14.197
¿ porqué no hay un modo de resolver triángulos sin la necesidad de aplicar la Trigonometria académica ? Saludos, profesor.
Hola, posiblemente exista otro método, pero por desgracia es todavía mas difícil que la trigonometría académica incluso te puedo asegurar que hoy en día es mas fácil y mas directo resolver los problemas de triángulos, entendemos que a veces llega a ser confuso pero te aseguramos que este método es el mas sencillo que existe.
Resuelve esto bien y claro.
¿Cuánto le falta al complemento del suplemento de 165,315° para alcanzar el suplemento del complemento de π/12 rad?
como resolver este ejercicio (tag x )2 -1
_________= -(tag x )2
(cotag x )2 -1