Capítulos
El coseno del ángulo
es la razón entre el cateto contiguo al ángulo y la hipotenusa y se denota por
.

Es decir,

El coseno de un ángulo en una circunferencia unitaria es igual a la abscisa.

Para comprobar esto, considere el ángulo
como en la siguiente figura. Podemos ver que
esta en el interior de un triángulo comprendido por los lados
y
donde
dado que es el radio de una circunferencia unitaria.
Por definición, el coseno de
viene determinado por

Es decir,
.
Signo del coseno
Como comprobamos anteriormente, el coseno de un ángulo
es igual al eje
o abscisa dado un triángulo unitario. Por lo que, el signo del coseno es igual al signo que tenga el eje
. En el primer y cuarto cuadrante el eje
es positivo, por lo que el coseno es positivo, en el segundo y tercero es negativo, así que el coseno es negativo.

Valores del coseno de algunos ángulos
![]() | ![]() | ![]() | ![]() | ![]() | ![]() | ![]() | ![]() |
|---|---|---|---|---|---|---|---|
![]() | ![]() | ![]() | ![]() | ![]() | ![]() | ![]() | ![]() |
Relación entre el seno y el coseno
El coseno de un ángulo se relaciona con el seno del mismo ángulo de la siguiente manera,

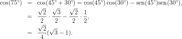
Ejemplo
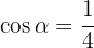
Supongamos que que
y que
. Calcular el seno de
.
Tenemos que
Como
(cuarto cuadrante) el coseno es positivo pero el seno (eje de las ordenadas) es negativo, por lo tanto el signo que debemos escoger para el seno en el desarrollo anterior es el signo menos. El resultado es 
Otras identidades del coseno
Para las siguientes identidades, el uso de radianes es bastante útil y en muchas ocasiones se usará indistintamente grados o radianes. Puedes consultar la teoría aquí.
1 Coseno del ángulo complementario.
.
Ejemplo:

2 Coseno del ángulo suplementario

Ejemplo:

3 Coseno de ángulos que se diferencian en 180°

Ejemplo:

4Coseno del ángulo opuesto

Ejemplo:


Ejemplo:

6 Coseno de un ángulo mayor de 360º
Sea
un número entero, entonces

Ejemplo:
Consideremos que
, por lo que si estamos interesados en calcular el coseno de
, tenemos que

7 Coseno de ángulos que diferencian en 90º

Ejemplo:

8 Coseno de ángulos que suman en 270º

Ejemplo:

9 Coseno de ángulos que se diferencian en 270º

Ejemplo:

10 Coseno de una suma

Ejemplo:

11 Coseno de una diferencia

Ejemplo:

12 Coseno del ángulo doble

Ejemplo:

13 Coseno del ángulo mitad

Ejemplo:

14 Transformación de una suma de cosenos en producto

Ejemplo:

15 Transformación de una diferencia de cosenos en producto

Ejemplo:

16 Transformación de un producto de cosenos en sumas


























Apuntes es una plataforma dirigida al estudio y la práctica de las matemáticas a través de la teoría y ejercicios interactivos que ponemos a vuestra disposición. Esta información está disponible para todo aquel/aquella que quiera profundizar en el aprendizaje de esta ciencia. Será un placer ayudaros en caso de que tengáis dudas frente algún problema, sin embargo, no realizamos un ejercicio que nos presentéis de 0 sin que hayáis si quiera intentado resolverlo. Ánimo, todo esfuerzo tiene su recompensa.
Cálculo el lado bc aplicando la ley de cosenos b=5cm c=6cm a=60°
Materia:
erica V= 1
Calcula el lado BC aplicando
5
V
0
V
4
V
A
B
AB = 6cm
CR
Datos
0 =5cm
C=600
En un triángulo, se tienen los datos: A = 50° ,B = 65° y a = 12. Encuentra el lado b.
excelente, por ejemplo tengo uno donde me hacen falta el ángulo A, B, C tengo estos datos lado a:14, b:6, c:4
La respuesta es 14.197
¿ porqué no hay un modo de resolver triángulos sin la necesidad de aplicar la Trigonometria académica ? Saludos, profesor.
Hola, posiblemente exista otro método, pero por desgracia es todavía mas difícil que la trigonometría académica incluso te puedo asegurar que hoy en día es mas fácil y mas directo resolver los problemas de triángulos, entendemos que a veces llega a ser confuso pero te aseguramos que este método es el mas sencillo que existe.
Resuelve esto bien y claro.
¿Cuánto le falta al complemento del suplemento de 165,315° para alcanzar el suplemento del complemento de π/12 rad?
como resolver este ejercicio (tag x )2 -1
_________= -(tag x )2
(cotag x )2 -1