Capítulos
Fórmulas trigonométricas de la suma y diferencia de ángulos
Conociendo las funciones trigonométricas para los ángulos
y
, podemos obtener las funciones trigonométricas para los ángulos
y 
1 
2 
3 
4 
5 
6 
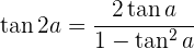
Fórmulas trigonométricas del ángulo doble
Conociendo las funciones trigonométricas para el ángulo
, podemos obtener las funciones trigonométricas para el ángulo doble 
1 
2 
3 
Fórmulas trigonométricas de la mitad del ángulo
Conociendo las funciones trigonométricas para el ángulo
, podemos obtener las funciones trigonométricas para el ángulo mitad 
1 
2 
3 
Transformaciones de operaciones
Transformaciones de sumas en productos
1 
2 
3 
4 
Transformaciones de productos en sumas
1 
2 
3 
4 
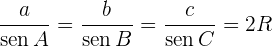
Teorema de seno, coseno y tangente
Para un triángulo con vértices
y lados opuestos
respectivamente, se tienen los siguientes teoremas:
Teorema del seno
Cada lado de un triángulo es directamente proporcional al seno del ángulo opuesto.

De manera equivalente

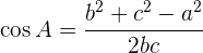
Teorema del coseno
En un triángulo el cuadrado de cada lado es igual a la suma de los cuadrados de los otros dos menos el doble producto de ambos por el coseno del ángulo que forman.

Otra versión común de este teorema es

Teorema de la tangente
Menos común pero no menos importante, el teorema de la tangente nos dice que:

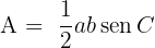
Área de un triángulo
Para un triángulo con vértices
y lados opuestos
respectivamente, el área es el semiproducto de dos de sus lados por el seno del ángulo que forman
Resumir con IA:









Apuntes es una plataforma dirigida al estudio y la práctica de las matemáticas a través de la teoría y ejercicios interactivos que ponemos a vuestra disposición. Esta información está disponible para todo aquel/aquella que quiera profundizar en el aprendizaje de esta ciencia. Será un placer ayudaros en caso de que tengáis dudas frente algún problema, sin embargo, no realizamos un ejercicio que nos presentéis de 0 sin que hayáis si quiera intentado resolverlo. Ánimo, todo esfuerzo tiene su recompensa.
Cálculo el lado bc aplicando la ley de cosenos b=5cm c=6cm a=60°
Materia:
erica V= 1
Calcula el lado BC aplicando
5
V
0
V
4
V
A
B
AB = 6cm
CR
Datos
0 =5cm
C=600
En un triángulo, se tienen los datos: A = 50° ,B = 65° y a = 12. Encuentra el lado b.
excelente, por ejemplo tengo uno donde me hacen falta el ángulo A, B, C tengo estos datos lado a:14, b:6, c:4
La respuesta es 14.197
¿ porqué no hay un modo de resolver triángulos sin la necesidad de aplicar la Trigonometria académica ? Saludos, profesor.
Hola, posiblemente exista otro método, pero por desgracia es todavía mas difícil que la trigonometría académica incluso te puedo asegurar que hoy en día es mas fácil y mas directo resolver los problemas de triángulos, entendemos que a veces llega a ser confuso pero te aseguramos que este método es el mas sencillo que existe.
Resuelve esto bien y claro.
¿Cuánto le falta al complemento del suplemento de 165,315° para alcanzar el suplemento del complemento de π/12 rad?
como resolver este ejercicio (tag x )2 -1
_________= -(tag x )2
(cotag x )2 -1