Capítulos
Demostrar las identidades trigonométricas
1
Usamos la definición de tangente y cotangente para desarrollar la parte izquierda de la ecuación

Usamos que
y las definiciones de secante y cosecante para obtener que

que es a lo que queríamos llegar.
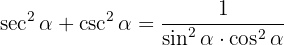
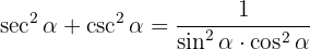
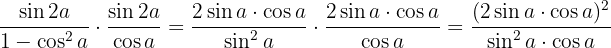
2
Primero desarrollamos el cuadrado

Factorizamos
de ambos sumandos, usamos la identidad
y la definición de cosecante y cotangente

3
Desarrollamos el lado derecho, iniciando por factorizar
de ambos sumandos

Usamos la identidad
y la definición de secante

4
Usamos la definición de cotangente y secante

Cancelamos el factor
y usamos la definición de cosecante

5
Desarrollamos con las definiciones de secante y cosecante y operamos la suma de fracciones

Finalmente usamos la identidad
y obtenemos el resultado deseado

Demostrar identidades con fórmulas de suma
6 
Primero notamos que

La fórmula del seno de la suma es

Y usandola obtenemos la identidad deseada de manera inmediata

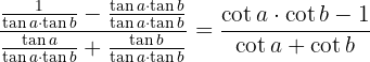
7
La definición de cotangente nos dice que

Usamos la fórmula de la tangente de la suma y simplificamos

Dividimos el numerador y denominador por
, para después usar la cotangente para reducir la expresión

Simplificar las fracciones
8
Usamos la fórmula del seno del ángulo doble

Consideramos que como
entonces 

Simplificamos y aplicamos la definición de tangente

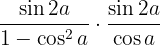
9
Sustituimos con
y la fórmula del seno del doble ángulo y realizamos la operación de multiplicación de fracciones

desarrollamos y simplificamos

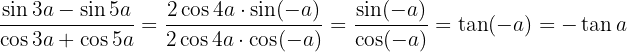
10
Usamos las fórmulas para pasar de sumas a productos de funciones trigonométricas


Entonces

Simplificamos y usamos la definición de tangente. Además la tangente es una función impar así que 

Demostrar las identidades trigonométricas

Usamos la definición de tangente y cotangente para desarrollar la parte izquierda de la ecuación

Usamos que
y las definiciones de secante y cosecante para obtener que

que es a lo que queríamos llegar.

Primero desarrollamos el cuadrado

Factorizamos
de ambos sumandos, usamos la identidad
y la definición de cosecante y cotangente


Desarrollamos el lado derecho, iniciando por factorizar
de ambos sumandos

Usamos la identidad
y la definición de secante


Usamos la definición de cotangente y secante

Cancelamos el factor
y usamos la definición de cosecante


Desarrollamos con las definiciones de secante y cosecante y operamos la suma de fracciones

Finalmente usamos la identidad
y obtenemos el resultado deseado

Demostrar identidades con fórmulas de suma

Primero notamos que

La fórmula del seno de la suma es

Y usandola obtenemos la identidad deseada de manera inmediata


La definición de cotangente nos dice que

Usamos la fórmula de la tangente de la suma y simplificamos

Dividimos el numerador y denominador por
, para después usar la cotangente para reducir la expresión

Simplificar las fracciones

Usamos la fórmula del seno del ángulo doble

Consideramos que como
entonces 

Simplificamos y aplicamos la definición de tangente


Sustituimos con
y la fórmula del seno del doble ángulo y realizamos la operación de multiplicación de fracciones

desarrollamos y simplificamos


Usamos las fórmulas para pasar de sumas a productos de funciones trigonométricas


Entonces

Simplificamos y usamos la definición de tangente. Además la tangente es una función impar así que 

Resumir con IA:









Apuntes es una plataforma dirigida al estudio y la práctica de las matemáticas a través de la teoría y ejercicios interactivos que ponemos a vuestra disposición. Esta información está disponible para todo aquel/aquella que quiera profundizar en el aprendizaje de esta ciencia. Será un placer ayudaros en caso de que tengáis dudas frente algún problema, sin embargo, no realizamos un ejercicio que nos presentéis de 0 sin que hayáis si quiera intentado resolverlo. Ánimo, todo esfuerzo tiene su recompensa.
Cálculo el lado bc aplicando la ley de cosenos b=5cm c=6cm a=60°
Materia:
erica V= 1
Calcula el lado BC aplicando
5
V
0
V
4
V
A
B
AB = 6cm
CR
Datos
0 =5cm
C=600
En un triángulo, se tienen los datos: A = 50° ,B = 65° y a = 12. Encuentra el lado b.
excelente, por ejemplo tengo uno donde me hacen falta el ángulo A, B, C tengo estos datos lado a:14, b:6, c:4
La respuesta es 14.197
¿ porqué no hay un modo de resolver triángulos sin la necesidad de aplicar la Trigonometria académica ? Saludos, profesor.
Hola, posiblemente exista otro método, pero por desgracia es todavía mas difícil que la trigonometría académica incluso te puedo asegurar que hoy en día es mas fácil y mas directo resolver los problemas de triángulos, entendemos que a veces llega a ser confuso pero te aseguramos que este método es el mas sencillo que existe.
Resuelve esto bien y claro.
¿Cuánto le falta al complemento del suplemento de 165,315° para alcanzar el suplemento del complemento de π/12 rad?
como resolver este ejercicio (tag x )2 -1
_________= -(tag x )2
(cotag x )2 -1