Definición ángulo
Un ángulo es la región del plano comprendida entre dos semirrectas con origen común.

A las semirrectas se las llama lados del ángulo. El origen común es el vértice.
El ángulo es positivo si se desplaza en sentido contrario al movimiento de las agujas del reloj y negativo en caso contrario
Grados y radianes
Los grados y los radianes son dos diferentes sistemas para medir ángulos.
Grados
Para medir ángulos se utiliza el sistema sexagesimal. Un grado sexagesimal es la amplitud del ángulo resultante de dividir la circunferencia en 360 partes iguales.
Un grado tiene 60 minutos (') y un minuto tiene 60 segundos (''). Es decir,
1º = 60' = 3600''
1' = 60''
Radianes
Un radián (rad) es la medida del ángulo central de una circunferencia cuya longitud de arco coincide con la longitud de su radio.

Un ángulo de
equivale a
radianes; un ángulo de
equivale a
radianes y por tanto
grados sexagesimales o equivalentemente

Para convertir grados en radianes o viceversa, partimos de que
equivale a
radianes; despues con una regla de tres resolvemos, por ejemplo:
1Convertir
a radianes:
Planteamos la regla de tres. Notemos que la
va arriba, en la posición de los radianes

2Convertir
radianes a grados:
Planteamos la regla de tres. Notemos que la
va abajo, en la posición de los grados

Ejercicios de conversiones entre grados y radianes
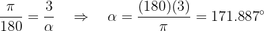
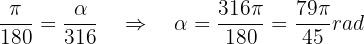
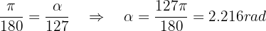
Expresa en grados sexagesimales los siguientes ángulos:
1
:

o considerando que

entonces

2
:
3
:
Expresa en radianes los siguientes ángulos:
1
:
2
:
3
:
Resumir con IA:









Apuntes es una plataforma dirigida al estudio y la práctica de las matemáticas a través de la teoría y ejercicios interactivos que ponemos a vuestra disposición. Esta información está disponible para todo aquel/aquella que quiera profundizar en el aprendizaje de esta ciencia. Será un placer ayudaros en caso de que tengáis dudas frente algún problema, sin embargo, no realizamos un ejercicio que nos presentéis de 0 sin que hayáis si quiera intentado resolverlo. Ánimo, todo esfuerzo tiene su recompensa.
Cálculo el lado bc aplicando la ley de cosenos b=5cm c=6cm a=60°
Materia:
erica V= 1
Calcula el lado BC aplicando
5
V
0
V
4
V
A
B
AB = 6cm
CR
Datos
0 =5cm
C=600
En un triángulo, se tienen los datos: A = 50° ,B = 65° y a = 12. Encuentra el lado b.
excelente, por ejemplo tengo uno donde me hacen falta el ángulo A, B, C tengo estos datos lado a:14, b:6, c:4
La respuesta es 14.197
¿ porqué no hay un modo de resolver triángulos sin la necesidad de aplicar la Trigonometria académica ? Saludos, profesor.
Hola, posiblemente exista otro método, pero por desgracia es todavía mas difícil que la trigonometría académica incluso te puedo asegurar que hoy en día es mas fácil y mas directo resolver los problemas de triángulos, entendemos que a veces llega a ser confuso pero te aseguramos que este método es el mas sencillo que existe.
Resuelve esto bien y claro.
¿Cuánto le falta al complemento del suplemento de 165,315° para alcanzar el suplemento del complemento de π/12 rad?
como resolver este ejercicio (tag x )2 -1
_________= -(tag x )2
(cotag x )2 -1