Capítulos
Los/las mejores profesores/as de Matemáticas que están disponibles
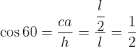
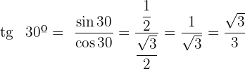
Razones trigonométricas de 30º y 60º
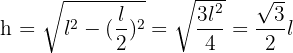
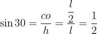
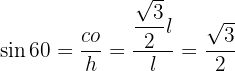
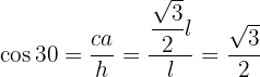
La altura divide al triángulo equilátero en dos triángulos rectángulos iguales cuyos ángulos miden y
.

Si aplicamos el teorema de Pitágoras obtenemos la altura en función del lado:

Ahora usamos las definiciones de las razones trigonométricas para los ángulos de 30º y 60º. Donde co = cateto opuesto, ca = cateto adyacente y h = hipotenusa.






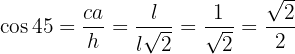
Razones trigonométricas de 45º
La diagonal divide al cuadrado en dos triángulos rectángulos iguales cuyos ángulos miden y
.

Si aplicamos el teorema de Pitágoras obtenemos la diagonal en función del lado:

Ahora usamos las definiciones de las razones trigonométricas.



Razones trigonométricas de ángulos notables

Apuntes es una plataforma dirigida al estudio y la práctica de las matemáticas a través de la teoría y ejercicios interactivos que ponemos a vuestra disposición. Esta información está disponible para todo aquel/aquella que quiera profundizar en el aprendizaje de esta ciencia. Será un placer ayudaros en caso de que tengáis dudas frente algún problema, sin embargo, no realizamos un ejercicio que nos presentéis de 0 sin que hayáis si quiera intentado resolverlo. Ánimo, todo esfuerzo tiene su recompensa.
Cálculo el lado bc aplicando la ley de cosenos b=5cm c=6cm a=60°
Materia:
erica V= 1
Calcula el lado BC aplicando
5
V
0
V
4
V
A
B
AB = 6cm
CR
Datos
0 =5cm
C=600
En un triángulo, se tienen los datos: A = 50° ,B = 65° y a = 12. Encuentra el lado b.
excelente, por ejemplo tengo uno donde me hacen falta el ángulo A, B, C tengo estos datos lado a:14, b:6, c:4
La respuesta es 14.197
¿ porqué no hay un modo de resolver triángulos sin la necesidad de aplicar la Trigonometria académica ? Saludos, profesor.
Hola, posiblemente exista otro método, pero por desgracia es todavía mas difícil que la trigonometría académica incluso te puedo asegurar que hoy en día es mas fácil y mas directo resolver los problemas de triángulos, entendemos que a veces llega a ser confuso pero te aseguramos que este método es el mas sencillo que existe.
Resuelve esto bien y claro.
¿Cuánto le falta al complemento del suplemento de 165,315° para alcanzar el suplemento del complemento de π/12 rad?
como resolver este ejercicio (tag x )2 -1
_________= -(tag x )2
(cotag x )2 -1