Los ángulos complementarios son aquellos que permiten formar un ángulo recto. Es decir, dos ángulos son complementarios si la suma de ellos es igual a
o
radianes. Para hallar el ángulo complementario de un ángulo que mide
solo restamos
menos
. Otro punto adicional para observar es que un ángulo complementario siempre mide menos de
. Es decir, es un ángulo agudo. O, visto de otro modo, solo dos ángulos que son agudos pueden ser complementarios.
La siguiente figura ilustra como podemos obtener al ángulo complementario de ángulo
dado

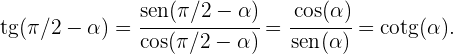
Podemos calcular el
y el
del ángulo complementario de un ángulo
. Como ya sabemos dicho ángulo complementario es
. Recordemos que
y que
, entonces usando las formulas para el seno y el coseno de una resta obtenemos,
Ejemplos:
1 Calcular el seno, coseno y tangente del ángulo complementario de
.
Primero notemos que dicho ángulo es igual
, entonces usando las formulas antes estipuladas tenemos que
2 Dado un triángulo rectángulo con una de sus ángulo igual
, calcular el seno, coseno y tangente del ángulo faltante en el triángulo, llamémoslo
.
Primero notemos que dicho ángulo es igual
, entonces usando las formulas antes estipuladas tenemos que
3 Calcular el seno, coseno y tangente de
.
Primero notemos que dicho ángulo es igual
, entonces usando las formulas antes estipuladas tenemos que
Resumir con IA:

Apuntes es una plataforma dirigida al estudio y la práctica de las matemáticas a través de la teoría y ejercicios interactivos que ponemos a vuestra disposición. Esta información está disponible para todo aquel/aquella que quiera profundizar en el aprendizaje de esta ciencia. Será un placer ayudaros en caso de que tengáis dudas frente algún problema, sin embargo, no realizamos un ejercicio que nos presentéis de 0 sin que hayáis si quiera intentado resolverlo. Ánimo, todo esfuerzo tiene su recompensa.
Cálculo el lado bc aplicando la ley de cosenos b=5cm c=6cm a=60°
Materia:
erica V= 1
Calcula el lado BC aplicando
5
V
0
V
4
V
A
B
AB = 6cm
CR
Datos
0 =5cm
C=600
En un triángulo, se tienen los datos: A = 50° ,B = 65° y a = 12. Encuentra el lado b.
excelente, por ejemplo tengo uno donde me hacen falta el ángulo A, B, C tengo estos datos lado a:14, b:6, c:4
La respuesta es 14.197
¿ porqué no hay un modo de resolver triángulos sin la necesidad de aplicar la Trigonometria académica ? Saludos, profesor.
Hola, posiblemente exista otro método, pero por desgracia es todavía mas difícil que la trigonometría académica incluso te puedo asegurar que hoy en día es mas fácil y mas directo resolver los problemas de triángulos, entendemos que a veces llega a ser confuso pero te aseguramos que este método es el mas sencillo que existe.
Resuelve esto bien y claro.
¿Cuánto le falta al complemento del suplemento de 165,315° para alcanzar el suplemento del complemento de π/12 rad?
como resolver este ejercicio (tag x )2 -1
_________= -(tag x )2
(cotag x )2 -1