Dado el siguiente triángulo rectángulo, calcula la medida de los lados y los ángulos desconocidos para cada caso:

Elige la opcion correcta:
Dados
y
, calcula
y
.
Selecciona una respuesta.
Sabemos que 
Podemos calcular el lado que nos falta usando el teorema de Pitágoras: 
Hallamos
usando las razones trigonométricas:

Como la suma de todos los ángulos de un triángulo es
, podemos calcular el ángulo que nos falta:

Dados
y
, calcula
y
.
Selecciona una respuesta.
Sabemos que


Como la suma de los lados del triángulo es
:

Dados
y
, calcula
y
.
Selecciona una respuesta.
Sabemos que


Como la suma de los lados del triángulo es
:

Dados
y
, calcula
y
.
Selecciona una respuesta.
Sabemos que 
Como la suma de los lados del triángulo es
:


Usando las razones trigonométricas:


Calcula la altura de un árbol sabiendo que a una distancia de
metros se ve bajo un ángulo de

Altura = m
Este campo es obligatorio.


Una escalera de
metros está apoyada sobre una pared y forma un ángulo de
con el suelo.
aCalcula la altura a la que se encuentra apoyada la escalera Altura =
b¿Qué distancia hay desde el extremo inferior de la escalera hasta la pared? Distancia = m
Este campo es obligatorio.

a 
b
Para medir la profundidad de una cueva, los espeleólogos utilizan un carrete de hilo. Van soltando hilo y miden la longitud y el ángulo que forma el hilo con la horizontal. ¿A qué profundidad se encontrará un espeleólogo que se encuentre en el punto
?

Profundidad = m
Este campo es obligatorio.
En primer lugar calculemos la longitud del tramo a:

Hallamos ahora la longitud del tramo b: 
El espeleólogo se encuentra a una profundidad de
metros.
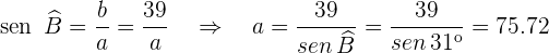
Halla la anchura del río, utilizando las medidas que se han tomado:

Anchura = m
Este campo es obligatorio.

Dividimos el triángulo en dos triángulos rectágulos para poder usar las razones trigonométricas y resolvemos el sistema:






La anchura del río es de
metros.
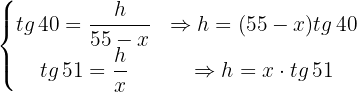
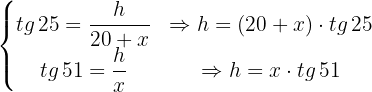
Desde un cierto punto se ve la parte más alta de una torre bajo un ángulo de
. Si avanzamos
metros para acercarnos a la torre, el ángulo es ahora de
. Calcula la altura de la torre
Altura = m
Este campo es obligatorio.

Usamos las razones trigonométricas apropiadas en cada uno de los dos triángulos rectángulos y resolvemos el sistema:



La torre mide
metros de altura.
¿Cuál es el diámetro de la circunferencia que se puede trazar con un compás cuyos brazos forman un ángulo de
y miden
cm?
Altura = cm
Este campo es obligatorio.

Este triángulo es isósceles por tener dos lados de la misma longitud. Así que trazando la altura del triángulo, la base queda dividida en dos segmentos iguales y el ángulo opuesto a la base también se divide en dos ángulos iguales:


El radio de la circunferencia es de
cm, luego el diámetro de dicha circunferencia es
cm.
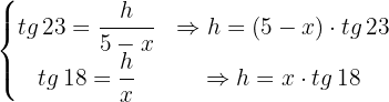
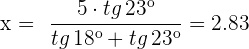
Dos personas separadas por una distancia de
observan un avión con ángulos de
y
respectivamente.
¿A qué altura se encuentra el avión y quién se encuentra más cerca del avión?
Selecciona una respuesta.

Usamos las razones trigonométricas en cada uno de los dos triángulos rectángulos y resolvemos el sistema:






El avión se encuentra a
de altura. La persona que observa el avión con un ángulo de
se encuentra más cerca del avión ya que la distancia entre esta persona y la proyección horizontal del avión es de
km y la distancia entre la otra persona y la proyección horizontal del avión es de
km.
Si tienes dudas puedes consultar la teoría
Resumir con IA:

Apuntes es una plataforma dirigida al estudio y la práctica de las matemáticas a través de la teoría y ejercicios interactivos que ponemos a vuestra disposición. Esta información está disponible para todo aquel/aquella que quiera profundizar en el aprendizaje de esta ciencia. Será un placer ayudaros en caso de que tengáis dudas frente algún problema, sin embargo, no realizamos un ejercicio que nos presentéis de 0 sin que hayáis si quiera intentado resolverlo. Ánimo, todo esfuerzo tiene su recompensa.
Cálculo el lado bc aplicando la ley de cosenos b=5cm c=6cm a=60°
Materia:
erica V= 1
Calcula el lado BC aplicando
5
V
0
V
4
V
A
B
AB = 6cm
CR
Datos
0 =5cm
C=600
En un triángulo, se tienen los datos: A = 50° ,B = 65° y a = 12. Encuentra el lado b.
excelente, por ejemplo tengo uno donde me hacen falta el ángulo A, B, C tengo estos datos lado a:14, b:6, c:4
La respuesta es 14.197
¿ porqué no hay un modo de resolver triángulos sin la necesidad de aplicar la Trigonometria académica ? Saludos, profesor.
Hola, posiblemente exista otro método, pero por desgracia es todavía mas difícil que la trigonometría académica incluso te puedo asegurar que hoy en día es mas fácil y mas directo resolver los problemas de triángulos, entendemos que a veces llega a ser confuso pero te aseguramos que este método es el mas sencillo que existe.
Resuelve esto bien y claro.
¿Cuánto le falta al complemento del suplemento de 165,315° para alcanzar el suplemento del complemento de π/12 rad?
como resolver este ejercicio (tag x )2 -1
_________= -(tag x )2
(cotag x )2 -1