Los siguiente teoremas hacen parte importante de la trigonometría. Dichos teoremas son el teorema de los senos, el teorema del coseno y el teorema de las tangentes. Estos son útiles para describir un triángulo, a partir de ellos podemos conocer los ángulo o lados del triángulo sin conocerlos todos.
Teorema de los senos
Al ubicar el circuncentro del triángulo trazamos una circunferencia de radio R alrededor del triángulo tal que este quede circunscrito, podemos dibujar un triángulo rectángulo de hipotenusa dos veces el radio de la circunferencia.

A partir de esto podemos notar que
Cada lado de un triángulo es directamente proporcional al seno del ángulo opuesto.
Y dicha proporcionalidad se expresa en la siguiente formula que establece el teorema de los senos,
Ejemplo:
Dado un triángulo con lados
y ángulos
. Calcular el valor de los lados 
Notemos que conocemos el lado
y su ángulo opuesto
, utilizamos el teorema de los senos para calcular primero el lado
,
Dado que la suma de los ángulos de un triángulo es
, entonces el ángulo
es
Final el teorema de los senos nos dice que el lado
es
Teorema del coseno
Se podría decir que el teorema del coseno es el teorema de Pitágoras para triángulos no rectángulos. Ya que este estable lo siguiente
Esto significa que
En un triángulo el cuadrado de cada lado es igual a la suma de los cuadrados de los otros dos menos el doble producto del producto de ambos por el coseno del ángulo que forman.
Ejemplo:
Consideremos el siguiente triángulo con lados
y ángulos
Hallar el valor del lado
.
Utilizaremos la fórmula del teorema del coseno, ya que esta nos relaciona los lados del triángulo que conocemos con el ángulo opuesto del lado desconocido. De esta forma tenemos que
Reemplazando los valores que conocemos tenemos que
Finalmente aplicando la raíz cuadrada, tenemos que
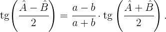
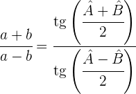
Teorema de las tangentes
El teorema de las tangentes es una formula que relaciona las longitudes de los lados de un triángulo con las tangentes de sus ángulos. Esta formula es consecuencia del teorema de los seno y la formula del seno de un ángulo medio. La formula es la siguiente
Ejemplo:
El siguiente triángulo tiene como lados
y como ángulos a
. Deseamos saber el valor de
.
La formula para el teorema de las tangente nos relaciona el valor que buscamos con los lados del triángulo. Despejando tenemos que el valor que buscamos es
Por lo tanto solo debemos conocer el valor de
, esto lo haremos utilizando el teorema del coseno. Dada la información tenemos que
Lo que nos dice que
Dado que
, entonces
De esto podemos concluir que
Finalmente, el resultado es

Resumir con IA:









Apuntes es una plataforma dirigida al estudio y la práctica de las matemáticas a través de la teoría y ejercicios interactivos que ponemos a vuestra disposición. Esta información está disponible para todo aquel/aquella que quiera profundizar en el aprendizaje de esta ciencia. Será un placer ayudaros en caso de que tengáis dudas frente algún problema, sin embargo, no realizamos un ejercicio que nos presentéis de 0 sin que hayáis si quiera intentado resolverlo. Ánimo, todo esfuerzo tiene su recompensa.
Cálculo el lado bc aplicando la ley de cosenos b=5cm c=6cm a=60°
Materia:
erica V= 1
Calcula el lado BC aplicando
5
V
0
V
4
V
A
B
AB = 6cm
CR
Datos
0 =5cm
C=600
En un triángulo, se tienen los datos: A = 50° ,B = 65° y a = 12. Encuentra el lado b.
excelente, por ejemplo tengo uno donde me hacen falta el ángulo A, B, C tengo estos datos lado a:14, b:6, c:4
La respuesta es 14.197
¿ porqué no hay un modo de resolver triángulos sin la necesidad de aplicar la Trigonometria académica ? Saludos, profesor.
Hola, posiblemente exista otro método, pero por desgracia es todavía mas difícil que la trigonometría académica incluso te puedo asegurar que hoy en día es mas fácil y mas directo resolver los problemas de triángulos, entendemos que a veces llega a ser confuso pero te aseguramos que este método es el mas sencillo que existe.
Resuelve esto bien y claro.
¿Cuánto le falta al complemento del suplemento de 165,315° para alcanzar el suplemento del complemento de π/12 rad?
como resolver este ejercicio (tag x )2 -1
_________= -(tag x )2
(cotag x )2 -1