Para encontrar el seno, coseno y tangente del doble de un ángulo notable aplicamos las fórmulas del ángulo doble. Esta se puede aplicar para cualquier ángulo, siempre que se conozca su valor para las tres funciones trigonométricas mencionadas.
Seno del ángulo doble
La fórmula para encontrar el seno de un ángulo doble es

Ejemplo 1: Hallar el seno de 
1 El ángulo de
se escribe como

2 Encontramos los valores de seno y coseno para el ángulo notable de 

3 Sustituimos en la fórmula de seno de un ángulo doble

Ejemplo 2: Hallar el seno de
si se sabe que
y 
1 El ángulo de
se escribe como

2 Nos proporcionan los valores de seno y coseno para el ángulo de
, ya que no es un ángulo notable

3 Sustituimos en la fórmula de seno de un ángulo doble

Observa que en el caso de los ángulos notables se obtiene el resultado exacto, mientras que para aquellos que no son notables solamente se obtienen aproximaciones.
Coseno del ángulo doble
La fórmula para encontrar el seno de un ángulo doble es

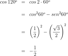
Ejemplo 1: Hallar el coseno de 
1 El ángulo de
se escribe como

2 Encontramos los valores de seno y coseno para 

3 Sustituimos en la fórmula de coseno de un ángulo doble

Ejemplo 2: Hallar el coseno de
si se sabe que
y 
1 El ángulo de
se escribe como

2 Nos proporcionan los valores de seno y coseno para el ángulo de
, ya que no es un ángulo notable

3 Sustituimos en la fórmula de coseno de un ángulo doble

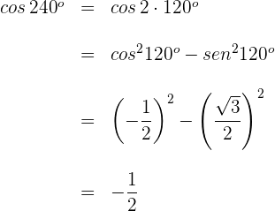
Ejemplo 3: Hallar el coseno de 
1 El ángulo de
se escribe como

2 Los valores de seno y coseno para
son

3 Sustituimos en la fórmula de coseno de un ángulo doble

Tangente del ángulo doble
La fórmula para encontrar la tangente de un ángulo doble es

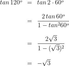
Ejemplo 1: Hallar la tangente de 
1 El ángulo de
se escribe como

2 Encontramos los valores para la tangente de 

3 Sustituimos en la fórmula de tangente de un ángulo doble

Ejemplo 2: Hallar la tangente de
si se sabe que
y 
1 El ángulo de
se escribe como
.
2 Encontramos los valores para la tangente de 

3 Sustituimos en la fórmula de tangente de un ángulo doble

Ejemplo 3: Hallar la tangente de
sabiendo que 
1 El ángulo de
se escribe como
y el ángulo de
se escribe como 
2 El valor para la tangente de
viene dada de acuerdo a los datos por 
3 Sustituimos en la fórmula de tangente de un ángulo doble

4 Sustituimos nuevamente en la fórmula de tangente de un ángulo doble para obtener 

Recuerda que en el caso de los ángulos notables se obtiene el resultado exacto, mientras que para aquellos que no son notables solamente se obtienen aproximaciones.
Resumir con IA:









Apuntes es una plataforma dirigida al estudio y la práctica de las matemáticas a través de la teoría y ejercicios interactivos que ponemos a vuestra disposición. Esta información está disponible para todo aquel/aquella que quiera profundizar en el aprendizaje de esta ciencia. Será un placer ayudaros en caso de que tengáis dudas frente algún problema, sin embargo, no realizamos un ejercicio que nos presentéis de 0 sin que hayáis si quiera intentado resolverlo. Ánimo, todo esfuerzo tiene su recompensa.
Cálculo el lado bc aplicando la ley de cosenos b=5cm c=6cm a=60°
Materia:
erica V= 1
Calcula el lado BC aplicando
5
V
0
V
4
V
A
B
AB = 6cm
CR
Datos
0 =5cm
C=600
En un triángulo, se tienen los datos: A = 50° ,B = 65° y a = 12. Encuentra el lado b.
excelente, por ejemplo tengo uno donde me hacen falta el ángulo A, B, C tengo estos datos lado a:14, b:6, c:4
La respuesta es 14.197
¿ porqué no hay un modo de resolver triángulos sin la necesidad de aplicar la Trigonometria académica ? Saludos, profesor.
Hola, posiblemente exista otro método, pero por desgracia es todavía mas difícil que la trigonometría académica incluso te puedo asegurar que hoy en día es mas fácil y mas directo resolver los problemas de triángulos, entendemos que a veces llega a ser confuso pero te aseguramos que este método es el mas sencillo que existe.
Resuelve esto bien y claro.
¿Cuánto le falta al complemento del suplemento de 165,315° para alcanzar el suplemento del complemento de π/12 rad?
como resolver este ejercicio (tag x )2 -1
_________= -(tag x )2
(cotag x )2 -1