A continuación, se presentan una serie de ejercicios resueltos sobre sistemas de ecuaciones trigonométricas. Estos problemas son fundamentales para comprender cómo abordar situaciones donde varias ecuaciones trigonométricas deben resolverse simultáneamente. A lo largo de los ejercicios, se emplearán diferentes técnicas y métodos, tales como la sustitución, la igualación y la utilización de identidades trigonométricas, con el fin de encontrar las soluciones más adecuadas y precisas.
Resolver los sistemas de ecuaciones trigonométricas:

Despejamos
de la segunda ecuación y obtenemos que

Ahora sustituimos en la primera ecuación

Recordamos que

obtenemos

para que coseno sea
se necesita que

y por tanto


Despejamos
de la segunda ecuación y obtenemos que

Ahora sustituimos en la primera ecuación

Recordamos que

obtenemos

para que coseno sea
se necesita que

y por tanto


Despejamos
de la segunda ecuación y obtenemos que

Ahora sustituimos en la primera ecuación

Recordamos que

obtenemos

para que coseno sea
se necesita que

y por tanto


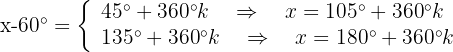
Despejamos
de la segunda ecuación y obtenemos que

Ahora sustituimos en la primera ecuación

Recordamos que

obtenemos

para que seno sea
se necesita que

y por tanto


Despejamos
de la segunda ecuación y obtenemos que

Ahora sustituimos en la primera ecuación

Recordamos que

obtenemos

para que seno sea
se necesita que

y por tanto


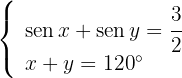
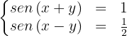
Para resolver el siguiente sistema de ecuaciones:

Comenzamos por sumar ambas ecuaciones tenemos como resultado:

Por lo tanto,
.
Las soluciones para
que tenemos son:


Ahora para encontrar el valor de
restamos la segunda ecuación a la primera

Por lo tanto,

Las soluciones que tenemos entonces son:



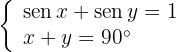
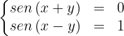
Para resolver el siguiente sistema de ecuaciones:

Comenzamos por sumar ambas ecuaciones tenemos como resultado:

Por lo tanto,
.
Las soluciones para
que tenemos son:


Ahora para encontrar el valor de
restamos la segunda ecuación a la primera

Por lo tanto,

Las soluciones que tenemos entonces son:



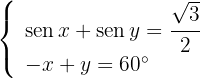
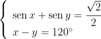
Para resolver el siguiente sistema de ecuaciones

Comenzamos por observar que el primer miembro de ambas ecuaciones corresponden a la suma y resta de los ángulos para la función seno, respectivamente, es decir:

Recordemos que
,
y
por lo tanto, el sistema se puede reducir a,

Sumando las ecuaciones

Despejando el valor de
y sustituyendo el valor de
:

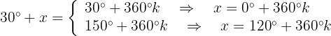
El otro sistema de ecuaciones es

Sumando las ecuaciones

Despejando el valor de
y sustituyendo el valor de
:


Para resolver el siguiente sistema de ecuaciones

Comenzamos por observar que el primer miembro de ambas ecuaciones corresponden a la suma y resta de los ángulos para la función seno, respectivamente, es decir:

Recordemos que
,
y
por lo tanto, el sistema se puede reducir a,

Sumando las ecuaciones

Despejando el valor de
y sustituyendo el valor de
:

El otro sistema de ecuaciones es

Sumando las ecuaciones

Despejando el valor de
y sustituyendo el valor de
:


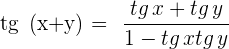
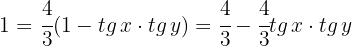
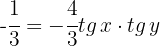
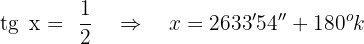
Para resolver el siguiente sistema de ecuaciones

Por definición la cotangente es la recíproca de tangente, es decir,

Por la suma de ángulos de la tangente sabemos

donde por la primer ecuación el numerador es igual a 1, entonces nuestro sistema se reduce a

Simplificando la segunda ecuación




Entonces el sistema de ecuaciones se reduce a

Sustituyendo el valor de
en la segunda ecuación,


Sustituyendo el valor de
en la primer ecuación

Resumir con IA:

Apuntes es una plataforma dirigida al estudio y la práctica de las matemáticas a través de la teoría y ejercicios interactivos que ponemos a vuestra disposición. Esta información está disponible para todo aquel/aquella que quiera profundizar en el aprendizaje de esta ciencia. Será un placer ayudaros en caso de que tengáis dudas frente algún problema, sin embargo, no realizamos un ejercicio que nos presentéis de 0 sin que hayáis si quiera intentado resolverlo. Ánimo, todo esfuerzo tiene su recompensa.
Cálculo el lado bc aplicando la ley de cosenos b=5cm c=6cm a=60°
Materia:
erica V= 1
Calcula el lado BC aplicando
5
V
0
V
4
V
A
B
AB = 6cm
CR
Datos
0 =5cm
C=600
En un triángulo, se tienen los datos: A = 50° ,B = 65° y a = 12. Encuentra el lado b.
excelente, por ejemplo tengo uno donde me hacen falta el ángulo A, B, C tengo estos datos lado a:14, b:6, c:4
La respuesta es 14.197
¿ porqué no hay un modo de resolver triángulos sin la necesidad de aplicar la Trigonometria académica ? Saludos, profesor.
Hola, posiblemente exista otro método, pero por desgracia es todavía mas difícil que la trigonometría académica incluso te puedo asegurar que hoy en día es mas fácil y mas directo resolver los problemas de triángulos, entendemos que a veces llega a ser confuso pero te aseguramos que este método es el mas sencillo que existe.
Resuelve esto bien y claro.
¿Cuánto le falta al complemento del suplemento de 165,315° para alcanzar el suplemento del complemento de π/12 rad?
como resolver este ejercicio (tag x )2 -1
_________= -(tag x )2
(cotag x )2 -1