Capítulos
- Sistemas de medición angular
- Razones trigonométricas
- Razones trigonométricas en el círculo unitario
- Signo de razones trigonométricas
- Razones trigonométricas de los ángulos de 30º y 60º
- Razones trigonométricas del ángulo de 45º
- Tabla de razones trigonométricas con ángulos notables
- Relaciones trigonométricas fundamentales
- Ángulos complementarios y suplementarios
- Ángulos negativos y opuestos
- Ángulos que difieren por un ángulo múltiplo de 90º
- Resolución de triángulos rectángulos
Sistemas de medición angular
Para medir ángulos se utilizan las siguientes unidades:
1 Grado sexagesimal (°):
Si se divide la circunferencia en
partes iguales, el ángulo central correspondiente a cada una de sus partes es un ángulo de un grado
sexagesimal.
Un grado tiene
minutos (') y un minuto tiene
segundos ('').
2 Radián (rad):
Es la medida de un ángulo cuyo arco mide un radio.
Razones trigonométricas
1 Seno
Seno del ángulo
: es la razón entre el cateto opuesto al ángulo y la hipotenusa.

2Coseno
Coseno del ángulo
: es la razón entre el cateto contiguo (o adyacente) al ángulo y la hipotenusa.

3 Tangente
Tangente del ángulo
: es la razón entre el cateto opuesto al ángulo y el cateto contiguo al ángulo.

4 Cosecante
Cosecante del ángulo
: es la razón inversa del seno de
.

5 Secante
Secante del ángulo
: es la razón inversa del coseno de
.

6Cotangente
Cotangente del ángulo
: es la razón inversa de la tangente de
.

Razones trigonométricas en el círculo unitario
Se llama circunferencia goniométrica o círculo unitario a aquélla que tiene su centro en el origen de coordenadas y su radio es la unidad. En la circunferencia goniométrica los ejes de coordenadas delimitan cuatro cuadrantes que se numeran en sentido contrario a las agujas del reloj comezando con el cuadrante delimitado por ejes positivos.
El seno es la ordenada del punto
. Además 
El coseno es la abscisa del punto
. Además 

Signo de razones trigonométricas
Basados en que el seno es el valor de la ordenada y coseno el de la abscisa del punto sobre el circunferencia goniométrica, dependiendo del cuadrante estos valores serán negativos o positivos. Por ejemplo en el cuadrante I y II el eje Y es positivo, y por lo tanto el seno será positivo ahí, ya que su valor corresponde a la ordenada. En cambio será negativo en los cuadrantes III y IV. El coseno por su parte, el valor es la abscisa, y como el eje X es positivo en los cuadrantes del lado derecho, el coseno será positivo en los cuadrantes I y IV y negativo en II y III.

A continuación una tabla con las razones trigonométricas en los ángulos que marcan inicio o fin de cada cuadrante.
![]() | 0º | 90º | º180 | 270º |
|---|---|---|---|---|
| sen | ![]() | ![]() | ![]() | ![]() |
| cos | ![]() | ![]() | ![]() | ![]() |
| tan | ![]() | ![]() | ![]() | ![]() |
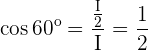
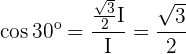
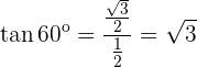
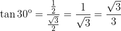
Razones trigonométricas de los ángulos de 30º y 60º
Para analizar las razones trigonométricas de los ángulos con medida de
y
, podemos pensar en la mitad de un triángulo equilatero:

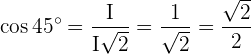
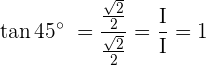
Razones trigonométricas del ángulo de 45º
Para analizar las razones trigonométricas del ángulo con medida de
, podemos pensar en un cuadrado dividido por la diagonal:

Usando las definiciones del las razones trigonométricas, obtengo que



Tabla de razones trigonométricas con ángulos notables
![]() | 0º | 30º | 45º | 60º | 90º | 180º | 270º |
|---|---|---|---|---|---|---|---|
| sen | ![]() | ![]() | ![]() | ![]() | ![]() | ![]() | ![]() |
| cos | ![]() | ![]() | ![]() | ![]() | ![]() | ![]() | ![]() |
| tan | ![]() | ![]() | ![]() | ![]() | ![]() | ![]() | ![]() |
Relaciones trigonométricas fundamentales



Ángulos complementarios y suplementarios
Ángulos complementarios




Ángulos suplementarios




Ángulos negativos y opuestos
Ángulos negativos




Ángulos opuestos




Ángulos que difieren por un ángulo múltiplo de 90º
Ángulos que difieren en 90º ó π/2 rad




Ángulos que se diferencian en 180° o π rad




Ángulos que difieren en 270º ó 3/2 π rad




Ángulos mayores de 360º




Ángulos que suman en 270º ó 3/2 π rad




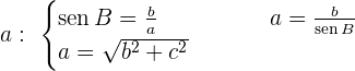
Resolución de triángulos rectángulos
Caso 1: Se conocen la hipotenusa y un cateto.




Caso 2: Se conocen los dos catetos.




Caso 3: Se conocen la hipotenusa y un ángulo agudo.




Caso 4: Se conocen un cateto y un ángulo agudo.




Si necesitas ayuda complementaria, en Superprof podrás encontrar cursos de matematicas adapatados a tus necesidades.
Resumir con IA:




















Apuntes es una plataforma dirigida al estudio y la práctica de las matemáticas a través de la teoría y ejercicios interactivos que ponemos a vuestra disposición. Esta información está disponible para todo aquel/aquella que quiera profundizar en el aprendizaje de esta ciencia. Será un placer ayudaros en caso de que tengáis dudas frente algún problema, sin embargo, no realizamos un ejercicio que nos presentéis de 0 sin que hayáis si quiera intentado resolverlo. Ánimo, todo esfuerzo tiene su recompensa.
Cálculo el lado bc aplicando la ley de cosenos b=5cm c=6cm a=60°
Materia:
erica V= 1
Calcula el lado BC aplicando
5
V
0
V
4
V
A
B
AB = 6cm
CR
Datos
0 =5cm
C=600
En un triángulo, se tienen los datos: A = 50° ,B = 65° y a = 12. Encuentra el lado b.
excelente, por ejemplo tengo uno donde me hacen falta el ángulo A, B, C tengo estos datos lado a:14, b:6, c:4
La respuesta es 14.197
¿ porqué no hay un modo de resolver triángulos sin la necesidad de aplicar la Trigonometria académica ? Saludos, profesor.
Hola, posiblemente exista otro método, pero por desgracia es todavía mas difícil que la trigonometría académica incluso te puedo asegurar que hoy en día es mas fácil y mas directo resolver los problemas de triángulos, entendemos que a veces llega a ser confuso pero te aseguramos que este método es el mas sencillo que existe.
Resuelve esto bien y claro.
¿Cuánto le falta al complemento del suplemento de 165,315° para alcanzar el suplemento del complemento de π/12 rad?
como resolver este ejercicio (tag x )2 -1
_________= -(tag x )2
(cotag x )2 -1