Distancia entre un punto accesible y uno inaccesible
Cuando se tiene un punto inaccesible
y se desea medir su distancia a un punto accesible
, se mide la distancia de
a un segundo punto accesible
de manera que se obtenga un triángulo con vértices
.

Con la ayuda de un teodolito se miden los ángulos correspondientes a los vértices conocidos.
Aplicamos el Teorema del seno y se obtiene la distancia entre los puntos
y
.
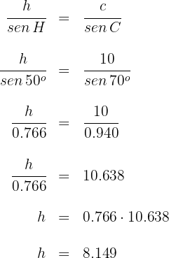
Ejemplo: Encontrar la distancia entre dos puntos
y
si se sabe que la distancia de
a un punto
es de
y con la ayuda de un teodolito se obtuvo que
y
.

1Calculamos la medida del ángulo
, para esto, utilizamos el resultado que nos dice que la suma de los ángulos interiores de un triángulo es igual a 

2Sustituimos los valores conocidos de los ángulos
,
y resolvemos para 

3Aplicamos el teorema del seno para 

4Sustituimos los valores conocidos y resolvemos para 

Así, la distancia buscada es de 
Ejercicios propuestos
1Se Encontrar la distancia entre dos puntos
y
que se encuentran separados por un río, si se sabe que la distancia de
a un punto
es de
y con la ayuda de un teodolito se obtuvo que
y
.
1Representamos gráficamente los datos proporcionados

2Calculamos la medida del ángulo
, para esto, utilizamos el resultado que nos dice que la suma de los ángulos interiores de un triángulo es igual a 

3Sustituimos los valores conocidos de los ángulos
,
y resolvemos para 

4Aplicamos el teorema del seno para 

5Sustituimos los valores conocidos y resolvemos para 

Así, la distancia buscada es de 
2Un hombre en la playa desea saber a que distancia se encuentra un islote, para esto considera dos puntos en la playa que se encuentra a
entre si y con la ayuda de un teodolito obtiene los ángulos para los puntos sobre la playa, estos son
y
. ¿A qué distancia se encuentra el islote del primer punto?
1Representamos gráficamente los datos proporcionados

2Calculamos la medida del ángulo
, para esto, utilizamos el resultado que nos dice que la suma de los ángulos interiores de un triángulo es igual a 

3Sustituimos los valores conocidos de los ángulos
,
y resolvemos para 

4Aplicamos el teorema del seno para 

5Sustituimos los valores conocidos y resolvemos para 

Así, la distancia buscada es de 
3Un niño vuela una cometa y su padre se encuentra a
. Si los ángulos de elevación del niño y del padre respecto a la cometa son
y
respectivamente, ¿a que distancia se encuentra la cometa del padre?
1Representamos gráficamente los datos proporcionados

2Calculamos la medida del ángulo
, para esto, utilizamos el resultado que nos dice que la suma de los ángulos interiores de un triángulo es igual a 

3Sustituimos los valores conocidos de los ángulos
,
y resolvemos para 

4Aplicamos el teorema del seno para 

5Sustituimos los valores conocidos y resolvemos para 

Así, la distancia buscada es de 
4Dos barcos se encuentrar a
entre si y ambos observan un muelle en la playa. Si los ángulos de los barcos al muelle son de
y
, encuentra la distancia del primer barco al muelle.
1Representamos gráficamente los datos proporcionados

2Calculamos la medida del ángulo
, para esto, utilizamos el resultado que nos dice que la suma de los ángulos interiores de un triángulo es igual a 

3Sustituimos los valores conocidos de los ángulos
,
y resolvemos para 

4Aplicamos el teorema del seno para 

5Sustituimos los valores conocidos y resolvemos para 

Así, la distancia buscada es de 
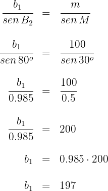
5Encontrar la distancia entre dos puntos
y
si se sabe que la distancia de
a un punto
es de
y con la ayuda de un teodolito se obtuvo que
y
.
1Representamos gráficamente los datos proporcionados

2Calculamos la medida del ángulo
, para esto, utilizamos el resultado que nos dice que la suma de los ángulos interiores de un triángulo es igual a 

3Sustituimos los valores conocidos de los ángulos
,
y resolvemos para 

4Aplicamos el teorema del seno para 

5Sustituimos los valores conocidos y resolvemos para 

Así, la distancia buscada es de 
Resumir con IA:









Apuntes es una plataforma dirigida al estudio y la práctica de las matemáticas a través de la teoría y ejercicios interactivos que ponemos a vuestra disposición. Esta información está disponible para todo aquel/aquella que quiera profundizar en el aprendizaje de esta ciencia. Será un placer ayudaros en caso de que tengáis dudas frente algún problema, sin embargo, no realizamos un ejercicio que nos presentéis de 0 sin que hayáis si quiera intentado resolverlo. Ánimo, todo esfuerzo tiene su recompensa.
Cálculo el lado bc aplicando la ley de cosenos b=5cm c=6cm a=60°
Materia:
erica V= 1
Calcula el lado BC aplicando
5
V
0
V
4
V
A
B
AB = 6cm
CR
Datos
0 =5cm
C=600
En un triángulo, se tienen los datos: A = 50° ,B = 65° y a = 12. Encuentra el lado b.
excelente, por ejemplo tengo uno donde me hacen falta el ángulo A, B, C tengo estos datos lado a:14, b:6, c:4
La respuesta es 14.197
¿ porqué no hay un modo de resolver triángulos sin la necesidad de aplicar la Trigonometria académica ? Saludos, profesor.
Hola, posiblemente exista otro método, pero por desgracia es todavía mas difícil que la trigonometría académica incluso te puedo asegurar que hoy en día es mas fácil y mas directo resolver los problemas de triángulos, entendemos que a veces llega a ser confuso pero te aseguramos que este método es el mas sencillo que existe.
Resuelve esto bien y claro.
¿Cuánto le falta al complemento del suplemento de 165,315° para alcanzar el suplemento del complemento de π/12 rad?
como resolver este ejercicio (tag x )2 -1
_________= -(tag x )2
(cotag x )2 -1